🇳🇴 🇬🇧 🇩🇪 🇨🇿 🇫🇮

Meteor, poloha: Setermoen 2022-02-03 04:23:22 UTC

Soubor KML  |  InteraktivnĂ­ mapa

Mapa zobrazuje dráhy meteoru. Světlejší čáry ukazují směry od pozorovacích stanic při objevení se meteoru a tmavší čáry, kde byl naposledy viděn. Modrá šipka značí viditelnou dráhu meteoru.

static map
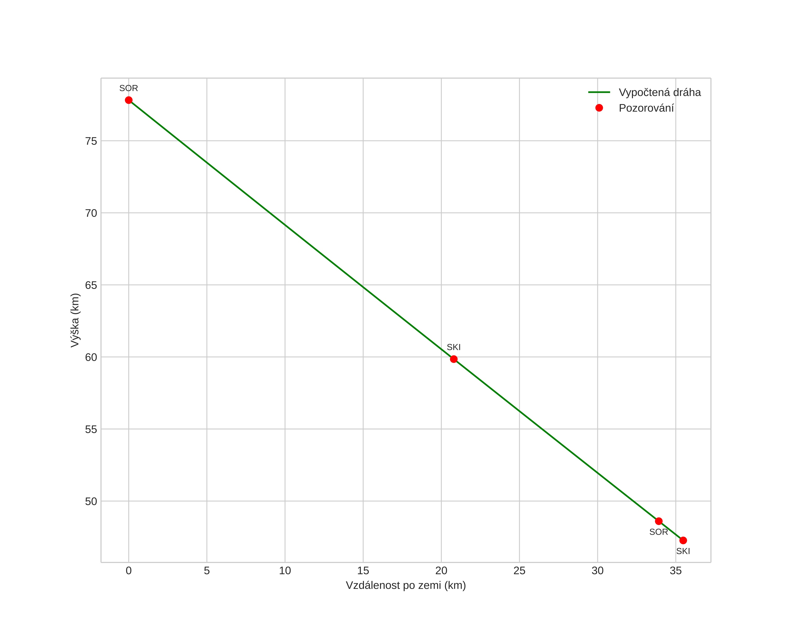
height profile
Atmosférická dráha meteoru:
Počáteční výška: 78,4 km
Konečná výška: 47,8 km
Počáteční poloha: 68,153N 17,752E
Konečná poloha: 67,972N 18,461E
Směr: 124,0°
Sklon: 40,6°
VstupnĂ­ rychlost: 18,0 km/s
Rektascenze radiantu: 07:16 (109,1°)
Deklinace radiantu: 43,7°
MeteorickĂ˝ roj: sporadickĂ˝
Elementy dráhy meteoroidu:
Vzdálenost v periheliu: 0,883 AU
Excentricita: 0,707
Sklon dráhy: 8,0°
Délka vzestupného uzlu: 314,0°
Argument perihelia: 221,5°
Střední anomálie: 354,6°
Epocha: 2022 FEB 03 04:23:22
orbit plot

NeinteraktivnĂ­ graf | InteraktivnĂ­ graf

position vs time
speed and acceleration