🇳🇴 🇬🇧 🇩🇪 🇨🇿 🇫🇮

Meteor, poloha: Moi 2022-02-04 20:59:13 UTC

Soubor KML  |  InteraktivnĂ­ mapa

Mapa zobrazuje dráhy meteoru. Světlejší čáry ukazují směry od pozorovacích stanic při objevení se meteoru a tmavší čáry, kde byl naposledy viděn. Modrá šipka značí viditelnou dráhu meteoru.

static map
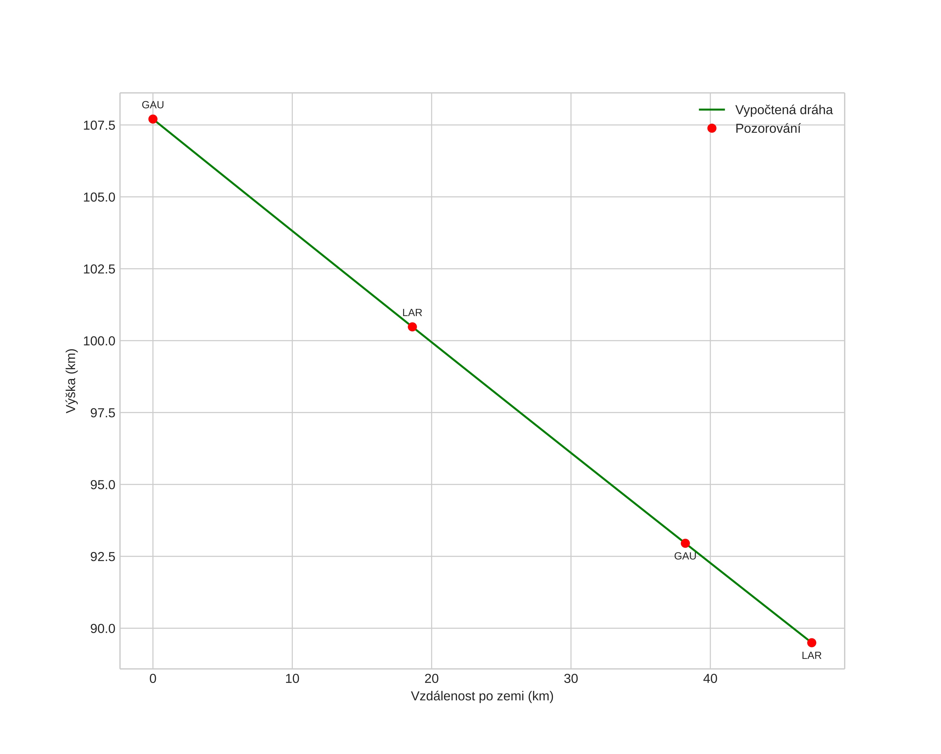
height profile
Atmosférická dráha meteoru:
Počáteční výška: 107,8 km
Konečná výška: 89,5 km
Počáteční poloha: 58,787N 6,837E
Konečná poloha: 58,417N 6,435E
Směr: 209,7°
Sklon: 21,2°
VstupnĂ­ rychlost: 48,3 km/s
Rektascenze radiantu: 15:39 (234,8°)
Deklinace radiantu: 46,0°
MeteorickĂ˝ roj: sporadickĂ˝
Elementy dráhy meteoroidu:
Vzdálenost v periheliu: 0,970 AU
Excentricita: 1,048
Sklon dráhy: 77,5°
Délka vzestupného uzlu: 315,7°
Argument perihelia: 194,3°
Střední anomálie: -0,1°
Epocha: 2022 FEB 04 20:59:13
orbit plot

NeinteraktivnĂ­ graf | InteraktivnĂ­ graf

position vs time
speed and acceleration