🇳🇴 🇬🇧 🇩🇪 🇨🇿 🇫🇮

Meteor, poloha: Burfjord 2022-02-06 05:29:17 UTC

Soubor KML  |  InteraktivnĂ­ mapa

Mapa zobrazuje dráhy meteoru. Světlejší čáry ukazují směry od pozorovacích stanic při objevení se meteoru a tmavší čáry, kde byl naposledy viděn. Modrá šipka značí viditelnou dráhu meteoru.

static map
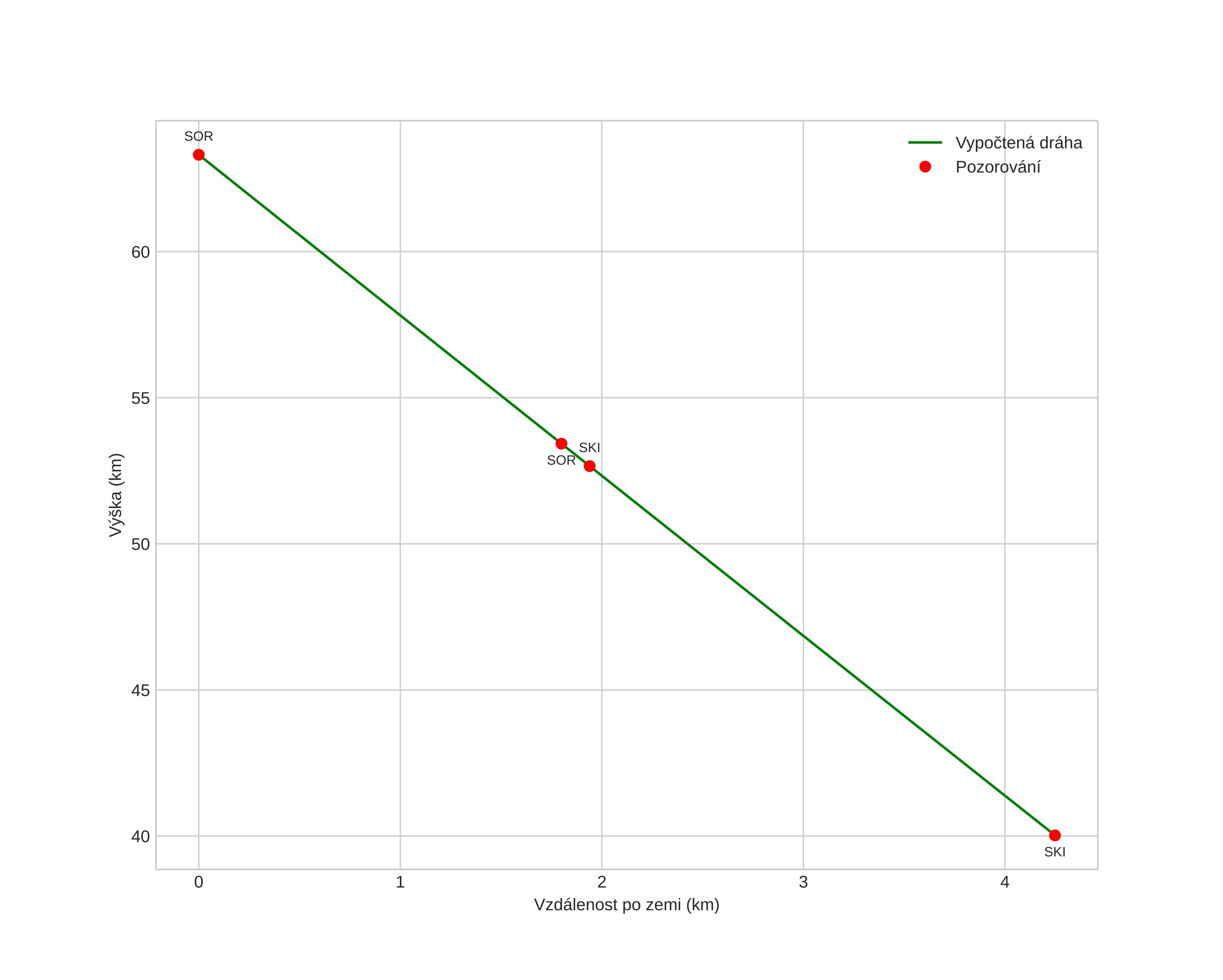
height profile
Atmosférická dráha meteoru:
Počáteční výška: 63,3 km
Konečná výška: 39,7 km
Počáteční poloha: 69,672N 21,837E
Konečná poloha: 69,633N 21,855E
Směr: 171,1°
Sklon: 79,4°
VstupnĂ­ rychlost: 19,0 km/s
Rektascenze radiantu: 15:03 (225,9°)
Deklinace radiantu: 80,9°
MeteorickĂ˝ roj: sporadickĂ˝
Elementy dráhy meteoroidu:
Vzdálenost v periheliu: 0,965 AU
Excentricita: 0,431
Sklon dráhy: 24,4°
Délka vzestupného uzlu: 317,1°
Argument perihelia: 201,6°
Střední anomálie: 352,1°
Epocha: 2022 FEB 06 05:29:17
orbit plot

NeinteraktivnĂ­ graf | InteraktivnĂ­ graf

position vs time
speed and acceleration