🇳🇴 🇬🇧 🇩🇪 🇨🇿 🇫🇮

Meteor, poloha: Langesund 2022-02-08 05:47:20 UTC

Soubor KML  |  InteraktivnĂ­ mapa

Mapa zobrazuje dráhy meteoru. Světlejší čáry ukazují směry od pozorovacích stanic při objevení se meteoru a tmavší čáry, kde byl naposledy viděn. Modrá šipka značí viditelnou dráhu meteoru.

static map
height profile
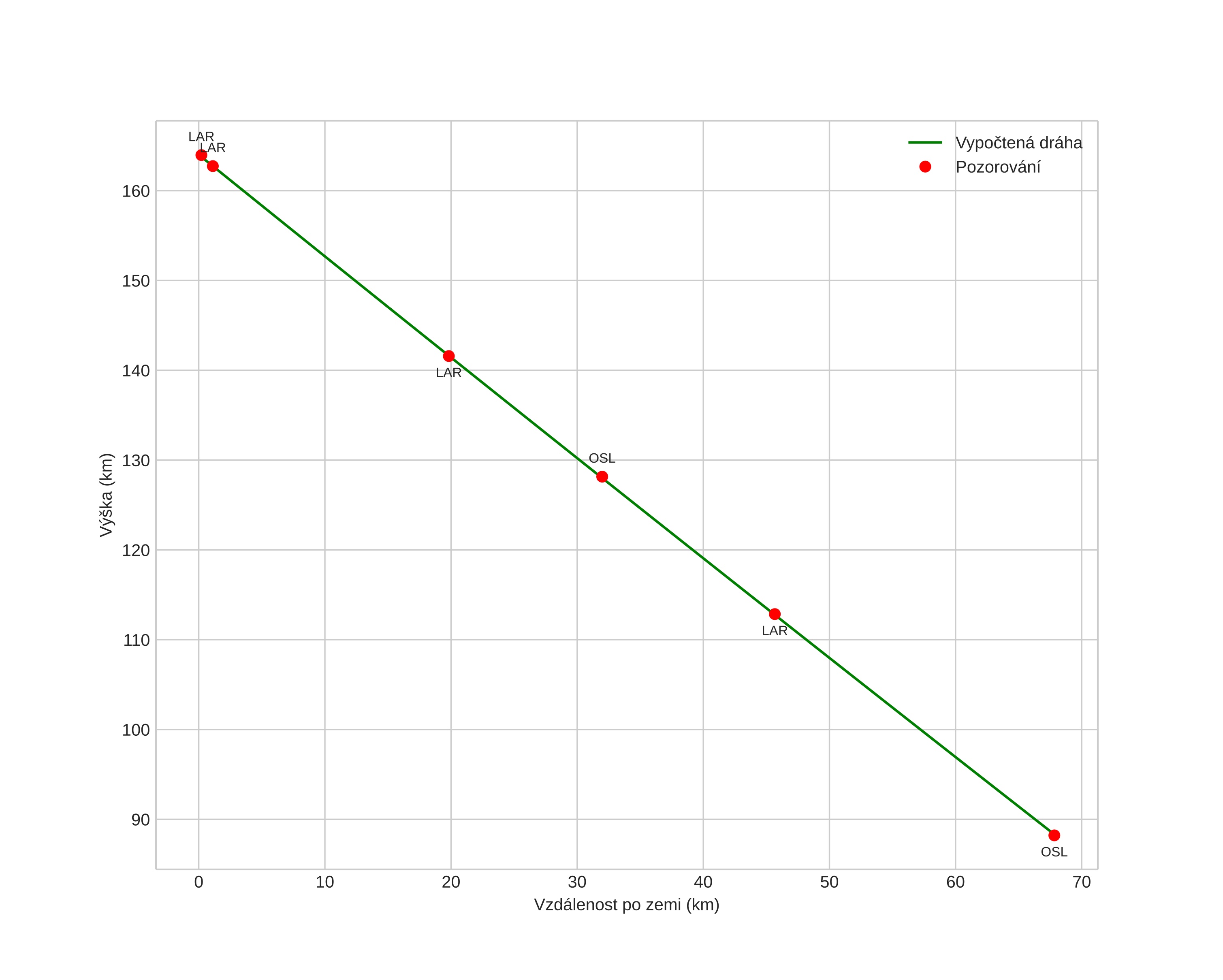
Atmosférická dráha meteoru:
Počáteční výška: 64,6 km
Konečná výška: 25,0 km
Počáteční poloha: 58,651N 9,697E
Konečná poloha: 58,685N 9,837E
Směr: 64,8°
Sklon: 77,3°
VstupnĂ­ rychlost: 26,3 km/s
Rektascenze radiantu: 14:17 (214,4°)
Deklinace radiantu: 51,1°
MeteorickĂ˝ roj: sporadickĂ˝
Elementy dráhy meteoroidu:
Vzdálenost v periheliu: 0,756 AU
Excentricita: 0,293
Sklon dráhy: 43,1°
Délka vzestupného uzlu: 319,1°
Argument perihelia: 271,9°
Střední anomálie: 301,4°
Epocha: 2022 FEB 08 05:47:20
orbit plot

NeinteraktivnĂ­ graf | InteraktivnĂ­ graf

position vs time
speed and acceleration