🇳🇴 🇬🇧 🇩🇪 🇨🇿 🇫🇮

Meteor, poloha: Ă…ndalsnes 2022-02-08 21:15:45 UTC

Soubor KML  |  InteraktivnĂ­ mapa

Mapa zobrazuje dráhy meteoru. Světlejší čáry ukazují směry od pozorovacích stanic při objevení se meteoru a tmavší čáry, kde byl naposledy viděn. Modrá šipka značí viditelnou dráhu meteoru.

static map
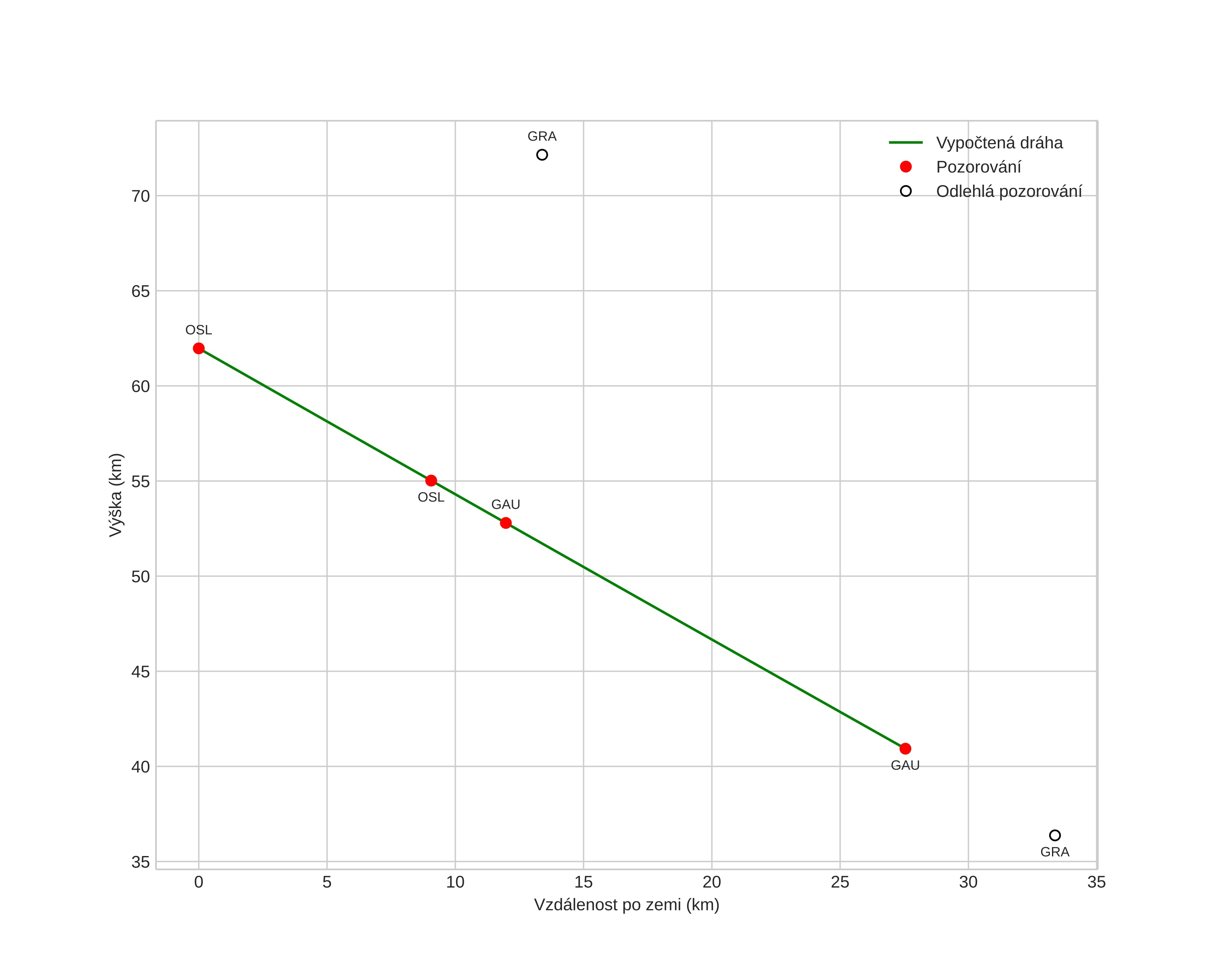
height profile
Atmosférická dráha meteoru:
Počáteční výška: 62,0 km
Konečná výška: 40,6 km
Počáteční poloha: 61,885N 7,962E
Konečná poloha: 62,095N 7,617E
Směr: 322,5°
Sklon: 35,9°
VstupnĂ­ rychlost: 25,0 km/s
Rektascenze radiantu: 09:04 (136,2°)
Deklinace radiantu: 9,4°
MeteorickĂ˝ roj: sporadickĂ˝
Elementy dráhy meteoroidu:
Vzdálenost v periheliu: 0,624 AU
Excentricita: 0,778
Sklon dráhy: 4,9°
Délka vzestupného uzlu: 139,8°
Argument perihelia: 80,8°
Střední anomálie: 351,1°
Epocha: 2022 FEB 08 21:15:45
orbit plot

NeinteraktivnĂ­ graf | InteraktivnĂ­ graf

position vs time
speed and acceleration