🇳🇴 🇬🇧 🇩🇪 🇨🇿 🇫🇮

Meteor, poloha: Skagen 2022-02-10 19:19:22 UTC

Soubor KML  |  InteraktivnĂ­ mapa

Mapa zobrazuje dráhy meteoru. Světlejší čáry ukazují směry od pozorovacích stanic při objevení se meteoru a tmavší čáry, kde byl naposledy viděn. Modrá šipka značí viditelnou dráhu meteoru.

static map
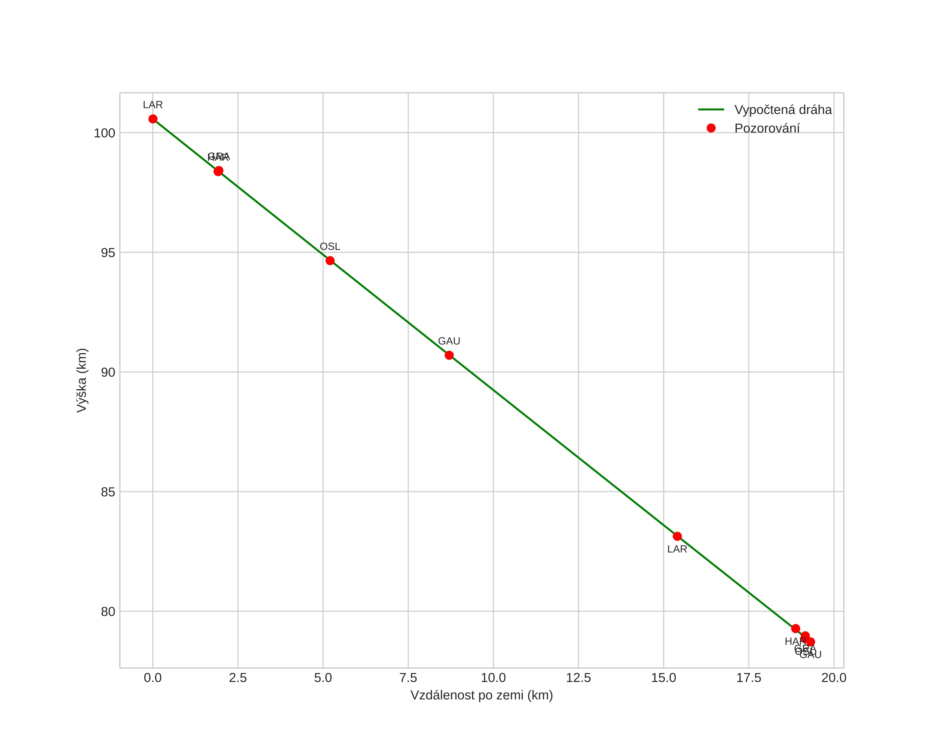
height profile
Atmosférická dráha meteoru:
Počáteční výška: 100,5 km
Konečná výška: 78,8 km
Počáteční poloha: 58,539N 10,435E
Konečná poloha: 58,377N 10,563E
Směr: 157,5°
Sklon: 48,1°
VstupnĂ­ rychlost: 20,3 km/s
Rektascenze radiantu: 21:05 (316,4°)
Deklinace radiantu: 69,5°
MeteorickĂ˝ roj: sporadickĂ˝
Elementy dráhy meteoroidu:
Vzdálenost v periheliu: 0,983 AU
Excentricita: 0,655
Sklon dráhy: 25,0°
Délka vzestupného uzlu: 321,7°
Argument perihelia: 172,1°
Střední anomálie: 1,2°
Epocha: 2022 FEB 10 19:19:22
orbit plot

NeinteraktivnĂ­ graf | InteraktivnĂ­ graf

position vs time
speed and acceleration