🇳🇴 🇬🇧 🇩🇪 🇨🇿 🇫🇮

Meteor, poloha: Moen 2022-02-13 03:37:44 UTC

Soubor KML  |  InteraktivnĂ­ mapa

Mapa zobrazuje dráhy meteoru. Světlejší čáry ukazují směry od pozorovacích stanic při objevení se meteoru a tmavší čáry, kde byl naposledy viděn. Modrá šipka značí viditelnou dráhu meteoru.

static map
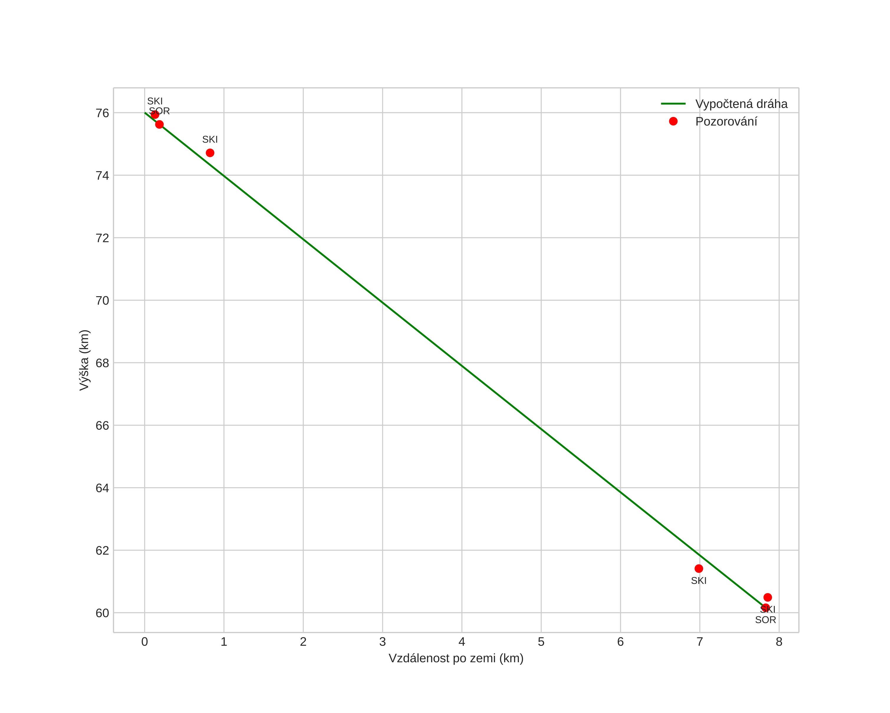
height profile
Atmosférická dráha meteoru:
Počáteční výška: 76,0 km
Konečná výška: 60,0 km
Počáteční poloha: 68,944N 18,476E
Konečná poloha: 68,891N 18,601E
Směr: 139,9°
Sklon: 64,1°
VstupnĂ­ rychlost: 16,5 km/s
Rektascenze radiantu: 07:53 (118,3°)
Deklinace radiantu: 70,5°
MeteorickĂ˝ roj: sporadickĂ˝
Elementy dráhy meteoroidu:
Vzdálenost v periheliu: 0,952 AU
Excentricita: 0,544
Sklon dráhy: 14,5°
Délka vzestupného uzlu: 324,1°
Argument perihelia: 206,1°
Střední anomálie: 353,4°
Epocha: 2022 FEB 13 03:37:44
orbit plot

NeinteraktivnĂ­ graf | InteraktivnĂ­ graf

position vs time
speed and acceleration