🇳🇴 🇬🇧 🇩🇪 🇨🇿 🇫🇮

Meteor, poloha: Tingvatn 2022-02-18 03:55:07 UTC

Soubor KML  |  InteraktivnĂ­ mapa

Mapa zobrazuje dráhy meteoru. Světlejší čáry ukazují směry od pozorovacích stanic při objevení se meteoru a tmavší čáry, kde byl naposledy viděn. Modrá šipka značí viditelnou dráhu meteoru.

static map
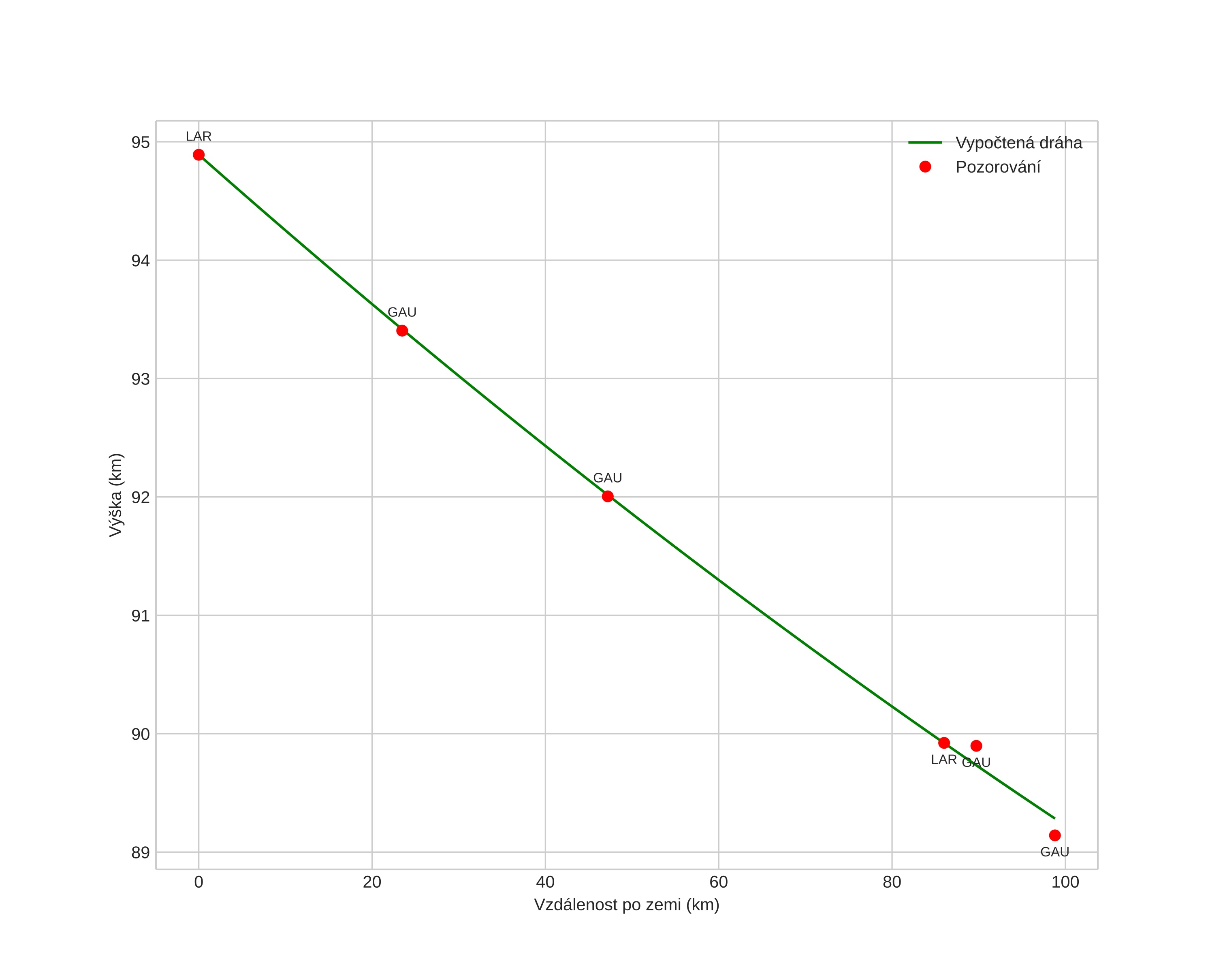
height profile
Atmosférická dráha meteoru:
Počáteční výška: 95,2 km
Konečná výška: 89,0 km
Počáteční poloha: 58,969N 8,336E
Konečná poloha: 58,246N 7,164E
Směr: 220,7°
Sklon: 3,4°
VstupnĂ­ rychlost: 16,8 km/s
Rektascenze radiantu: 23:39 (354,9°)
Deklinace radiantu: 11,7°
MeteorickĂ˝ roj: sporadickĂ˝
Elementy dráhy meteoroidu:
Vzdálenost v periheliu: 0,887 AU
Excentricita: 0,649
Sklon dráhy: 4,3°
Délka vzestupného uzlu: 329,1°
Argument perihelia: 137,7°
Střední anomálie: 7,4°
Epocha: 2022 FEB 18 03:55:07
orbit plot

NeinteraktivnĂ­ graf | InteraktivnĂ­ graf

position vs time
speed and acceleration