🇳🇴 🇬🇧 🇩🇪 🇨🇿 🇫🇮

Meteor Mossin yllä 2022-02-19 19:30:02 UTC

KML-tiedosto  |  Interaktiivinen kartta

Kartta näyttää meteorin suuntahavainnot. Vaaleammat viivat näyttävät suunnat havaintoasemilta meteorin ilmestyessä, ja tummemmat viivat näyttävät, missä se viimeksi nähtiin. Sininen nuoli näyttää meteorin näkyvän lennon.

static map
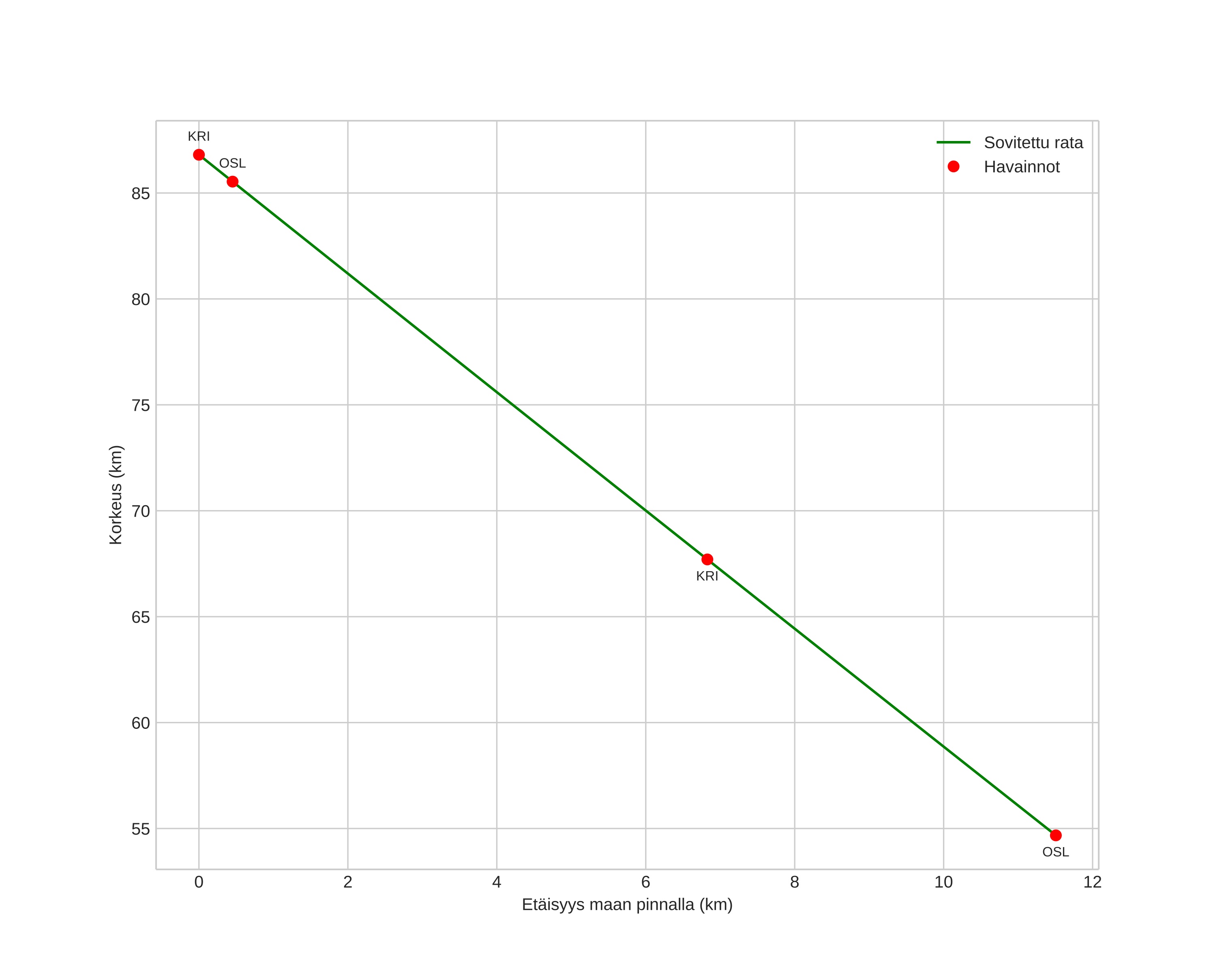
height profile
Meteorin ilmakehärata:
Alkukorkeus: 87,7 km
Loppukorkeus: 56,6 km
Alkupiste: 59,355N 10,657E
Loppupiste: 59,452N 10,650E
Suunta: 357,9°
Kallistuskulma: 70,9°
Tulonopeus: 16,8 km/s
Radiantin R,A,: 06:08 (92,2°)
Radiantin Dekl,: 37,3°
Meteoriparvi: Sporadinen
Meteoroidin rataelementit:
Perihelietäisyys: 0,967 AU
Eksentrisyys: 0,884
Inklinaatio: 4,2°
Nousevan solmun pituus: 330,8°
Perihelin argumentti: 197,6°
Keskianomalia: 359,5°
Epookki: 2022 FEB 19 19:30:02
orbit plot

Ei-interaktiivinen kuvaaja | Interaktiivinen kuvaaja

position vs time
speed and acceleration