🇳🇴 🇬🇧 🇩🇪 🇨🇿 🇫🇮

Meteor, poloha: Olderdalen 2022-02-22 20:08:59 UTC

Soubor KML  |  InteraktivnĂ­ mapa

Mapa zobrazuje dráhy meteoru. Světlejší čáry ukazují směry od pozorovacích stanic při objevení se meteoru a tmavší čáry, kde byl naposledy viděn. Modrá šipka značí viditelnou dráhu meteoru.

static map
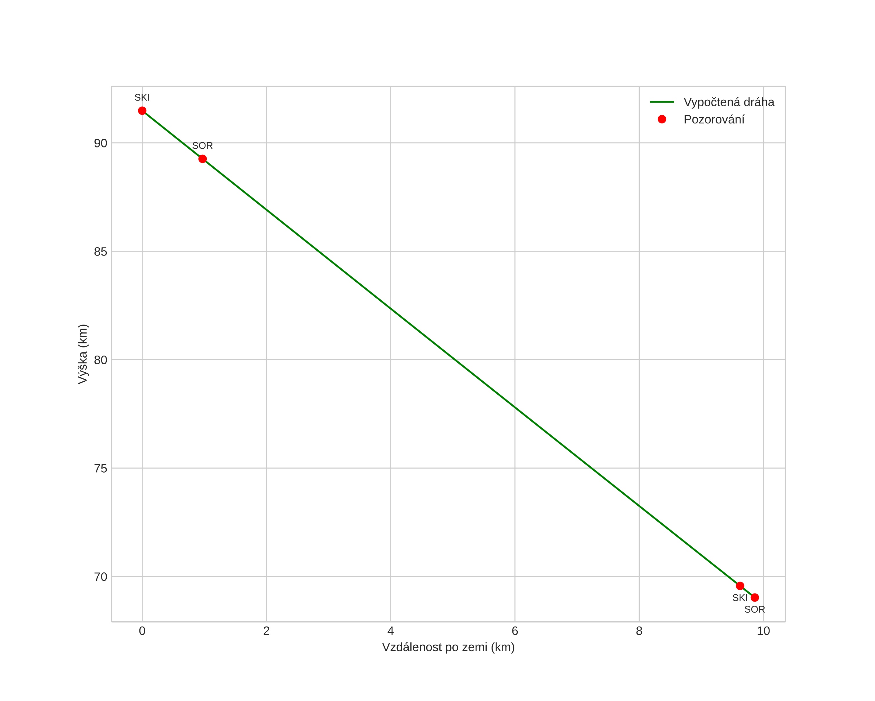
height profile
Atmosférická dráha meteoru:
Počáteční výška: 91,7 km
Konečná výška: 69,3 km
Počáteční poloha: 68,942N 21,077E
Konečná poloha: 68,867N 20,960E
Směr: 209,1°
Sklon: 66,7°
VstupnĂ­ rychlost: 23,1 km/s
Rektascenze radiantu: 14:01 (210,4°)
Deklinace radiantu: 78,7°
MeteorickĂ˝ roj: sporadickĂ˝
Elementy dráhy meteoroidu:
Vzdálenost v periheliu: 0,968 AU
Excentricita: 0,728
Sklon dráhy: 29,1°
Délka vzestupného uzlu: 333,9°
Argument perihelia: 198,5°
Střední anomálie: 358,0°
Epocha: 2022 FEB 22 20:08:59
orbit plot

NeinteraktivnĂ­ graf | InteraktivnĂ­ graf

position vs time
speed and acceleration