🇳🇴 🇬🇧 🇩🇪 🇨🇿 🇫🇮

Meteor, poloha: Vestbygd 2022-02-25 01:17:23 UTC

Soubor KML  |  InteraktivnĂ­ mapa

Mapa zobrazuje dráhy meteoru. Světlejší čáry ukazují směry od pozorovacích stanic při objevení se meteoru a tmavší čáry, kde byl naposledy viděn. Modrá šipka značí viditelnou dráhu meteoru.

static map
height profile
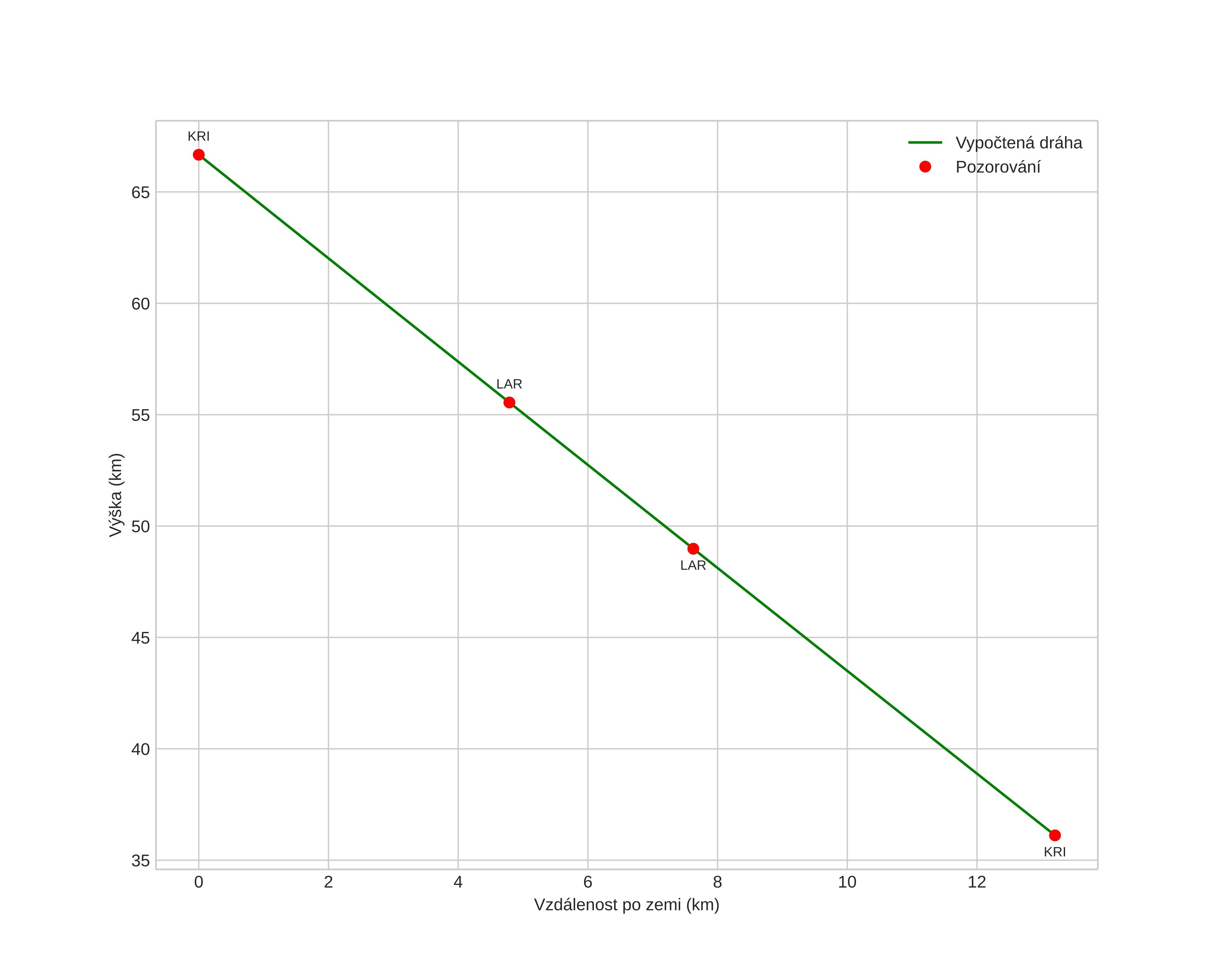
Atmosférická dráha meteoru:
Počáteční výška: 66,7 km
Konečná výška: 36,1 km
Počáteční poloha: 56,748N 6,011E
Konečná poloha: 56,741N 6,227E
Směr: 93,4°
Sklon: 66,7°
VstupnĂ­ rychlost: 18,4 km/s
Rektascenze radiantu: 09:04 (136,1°)
Deklinace radiantu: 49,5°
MeteorickĂ˝ roj: sporadickĂ˝
Elementy dráhy meteoroidu:
Vzdálenost v periheliu: 0,910 AU
Excentricita: 0,729
Sklon dráhy: 11,7°
Délka vzestupného uzlu: 336,1°
Argument perihelia: 216,1°
Střední anomálie: 355,9°
Epocha: 2022 FEB 25 01:17:23
orbit plot

NeinteraktivnĂ­ graf | InteraktivnĂ­ graf

position vs time
speed and acceleration