🇳🇴 🇬🇧 🇩🇪 🇨🇿 🇫🇮

Meteor, poloha: Grimstad 2022-03-02 20:54:32 UTC

Soubor KML  |  InteraktivnĂ­ mapa

Mapa zobrazuje dráhy meteoru. Světlejší čáry ukazují směry od pozorovacích stanic při objevení se meteoru a tmavší čáry, kde byl naposledy viděn. Modrá šipka značí viditelnou dráhu meteoru.

static map
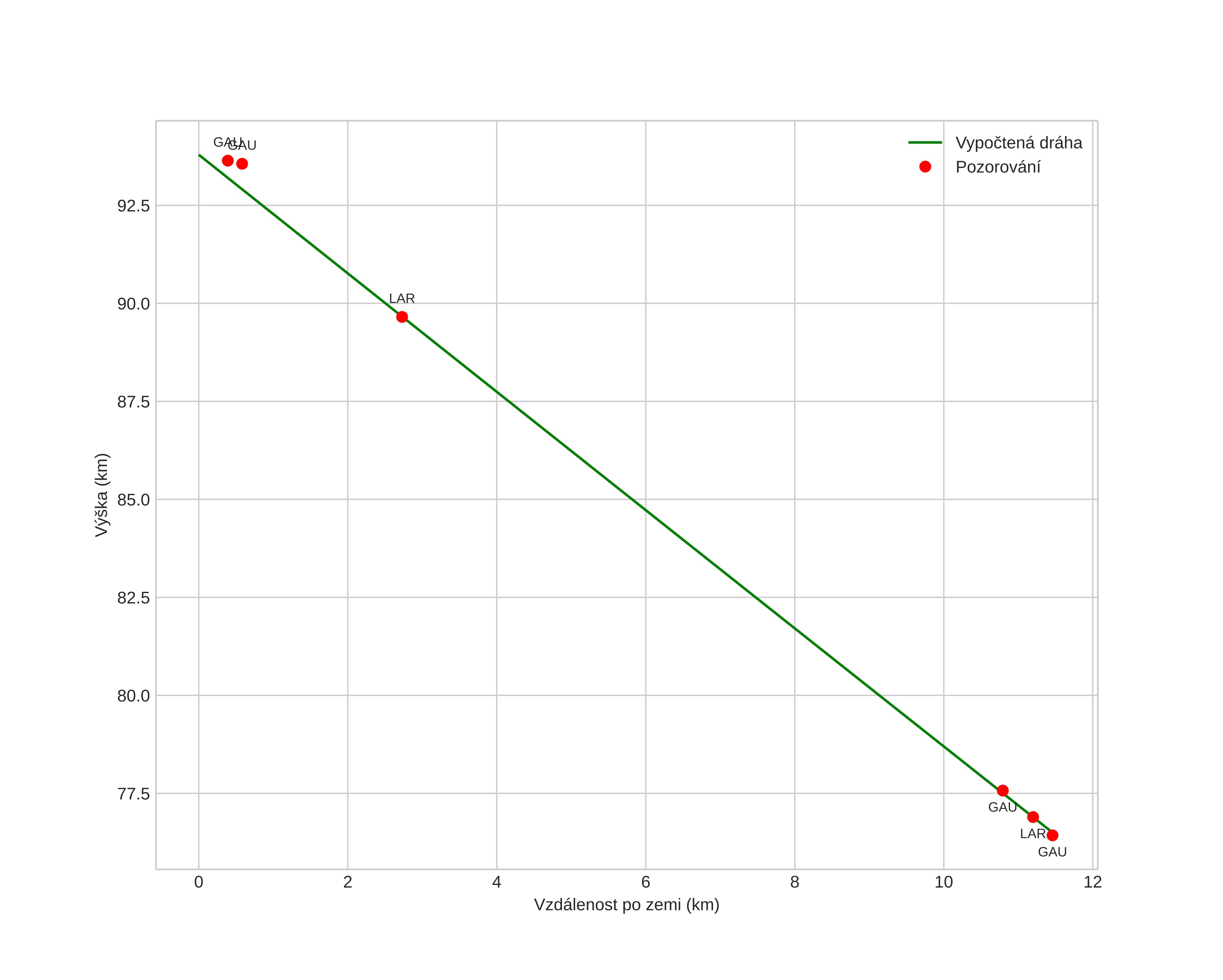
height profile
Atmosférická dráha meteoru:
Počáteční výška: 93,9 km
Konečná výška: 75,1 km
Počáteční poloha: 57,950N 8,694E
Konečná poloha: 58,057N 8,612E
Směr: 337,9°
Sklon: 55,6°
VstupnĂ­ rychlost: 19,6 km/s
Rektascenze radiantu: 09:04 (136,1°)
Deklinace radiantu: 21,6°
MeteorickĂ˝ roj: sporadickĂ˝
Elementy dráhy meteoroidu:
Vzdálenost v periheliu: 0,869 AU
Excentricita: 0,845
Sklon dráhy: 2,0°
Délka vzestupného uzlu: 341,9°
Argument perihelia: 223,0°
Střední anomálie: 357,9°
Epocha: 2022 MAR 02 20:54:32
orbit plot

NeinteraktivnĂ­ graf | InteraktivnĂ­ graf

position vs time
speed and acceleration