🇳🇴 🇬🇧 🇩🇪 🇨🇿 🇫🇮

Meteor, poloha: Kviteseid 2022-03-06 21:31:47 UTC

Soubor KML  |  InteraktivnĂ­ mapa

Mapa zobrazuje dráhy meteoru. Světlejší čáry ukazují směry od pozorovacích stanic při objevení se meteoru a tmavší čáry, kde byl naposledy viděn. Modrá šipka značí viditelnou dráhu meteoru.

static map
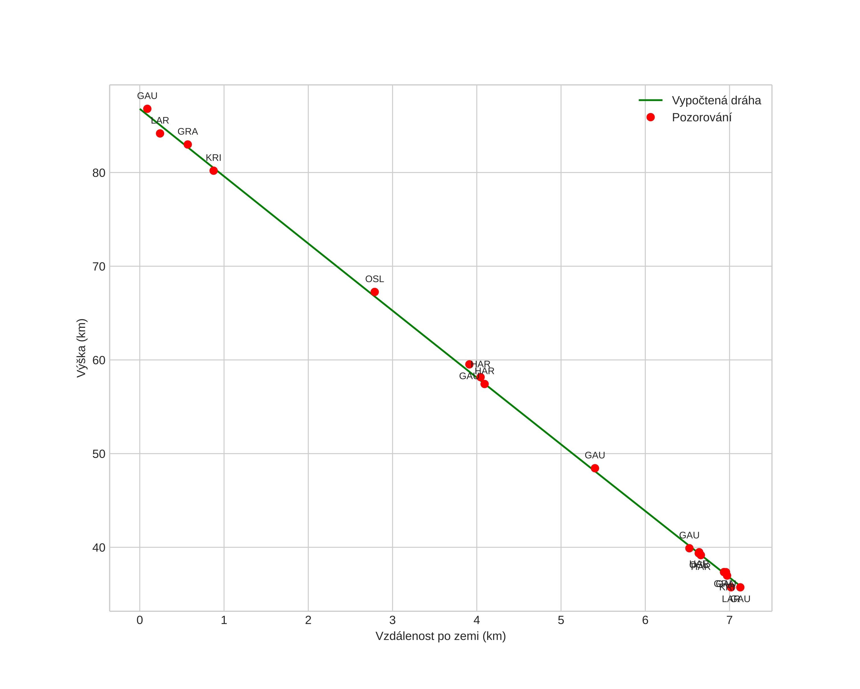
height profile
Atmosférická dráha meteoru:
Počáteční výška: 86,9 km
Konečná výška: 35,7 km
Počáteční poloha: 59,331N 8,735E
Konečná poloha: 59,284N 8,648E
Směr: 223,4°
Sklon: 82,0°
VstupnĂ­ rychlost: 17,6 km/s
Rektascenze radiantu: 09:54 (148,5°)
Deklinace radiantu: 65,3°
MeteorickĂ˝ roj: sporadickĂ˝
Elementy dráhy meteoroidu:
Vzdálenost v periheliu: 0,959 AU
Excentricita: 0,639
Sklon dráhy: 15,6°
Délka vzestupného uzlu: 346,0°
Argument perihelia: 203,7°
Střední anomálie: 355,9°
Epocha: 2022 MAR 06 21:31:47
orbit plot

NeinteraktivnĂ­ graf | InteraktivnĂ­ graf

position vs time
speed and acceleration

Gaustatoppen (GAU) cam4


gnomonic
Videa
• Gnomonická
• Gnomonická se souřadnicemi
• Původní
• Původní se souřadnicemi
Obrázky
• Gnomonická
• Gnomonická se souřadnicemi
• Gnomonická s popisky
• Původní
• Původní se souřadnicemi
Textové soubory
• Detekce
• Pozorování
• Souřadnice
• Chybová hlášení
• Protokol
Jasnost