🇳🇴 🇬🇧 🇩🇪 🇨🇿 🇫🇮

Meteor, poloha: Lampeland 2022-03-08 19:30:11 UTC

Soubor KML  |  InteraktivnĂ­ mapa

Mapa zobrazuje dráhy meteoru. Světlejší čáry ukazují směry od pozorovacích stanic při objevení se meteoru a tmavší čáry, kde byl naposledy viděn. Modrá šipka značí viditelnou dráhu meteoru.

static map
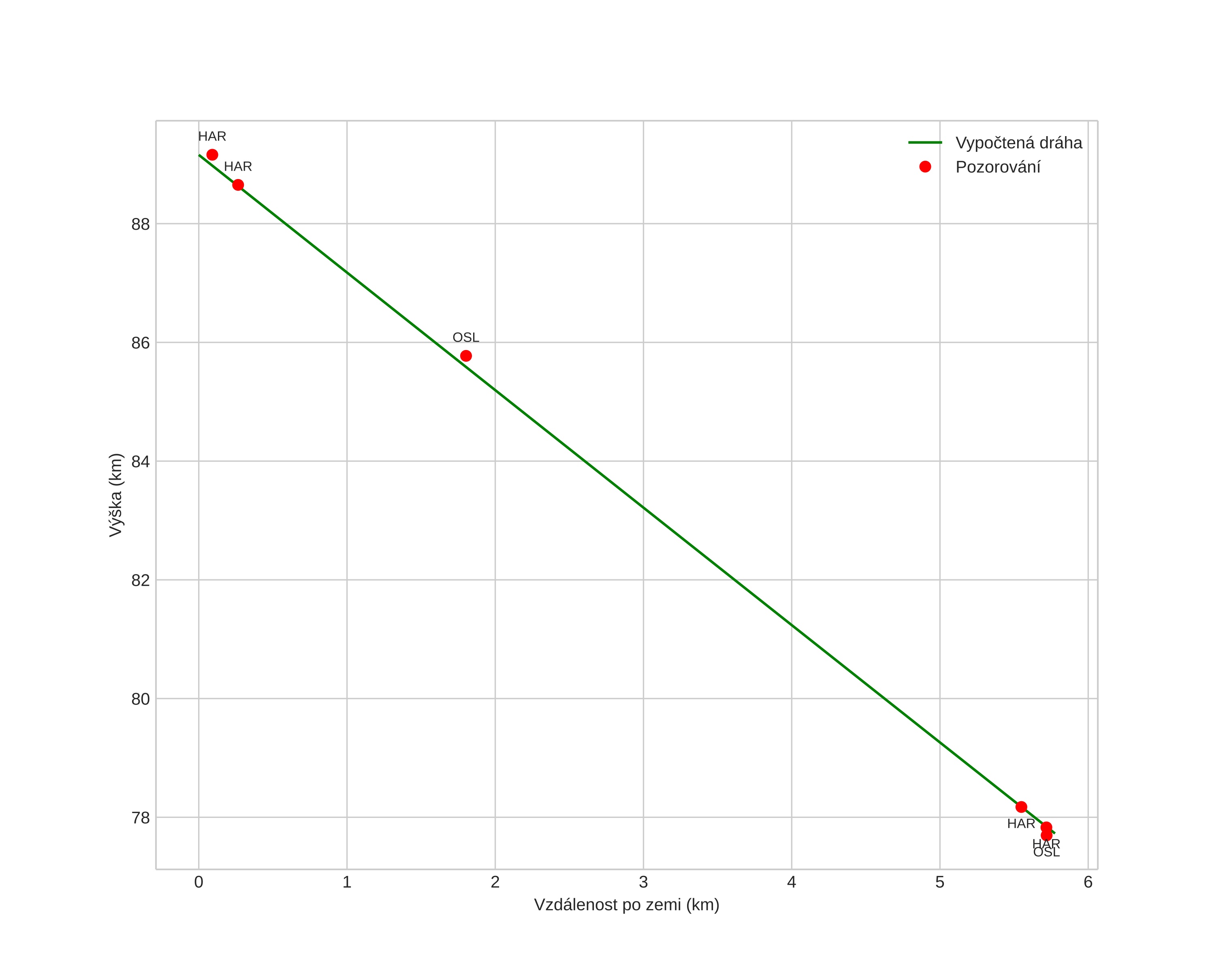
height profile
Atmosférická dráha meteoru:
Počáteční výška: 88,8 km
Konečná výška: 77,0 km
Počáteční poloha: 59,915N 9,565E
Konečná poloha: 59,888N 9,477E
Směr: 238,6°
Sklon: 63,9°
VstupnĂ­ rychlost: 16,1 km/s
Rektascenze radiantu: 11:27 (171,8°)
Deklinace radiantu: 62,3°
MeteorickĂ˝ roj: sporadickĂ˝
Elementy dráhy meteoroidu:
Vzdálenost v periheliu: 0,947 AU
Excentricita: 0,415
Sklon dráhy: 15,1°
Délka vzestupného uzlu: 347,9°
Argument perihelia: 212,4°
Střední anomálie: 347,4°
Epocha: 2022 MAR 08 19:30:11
orbit plot

NeinteraktivnĂ­ graf | InteraktivnĂ­ graf

position vs time
speed and acceleration