🇳🇴 🇬🇧 🇩🇪 🇨🇿 🇫🇮

Meteor, poloha: Tonstad 2022-03-12 01:34:23 UTC

Soubor KML  |  InteraktivnĂ­ mapa

Mapa zobrazuje dráhy meteoru. Světlejší čáry ukazují směry od pozorovacích stanic při objevení se meteoru a tmavší čáry, kde byl naposledy viděn. Modrá šipka značí viditelnou dráhu meteoru.

static map
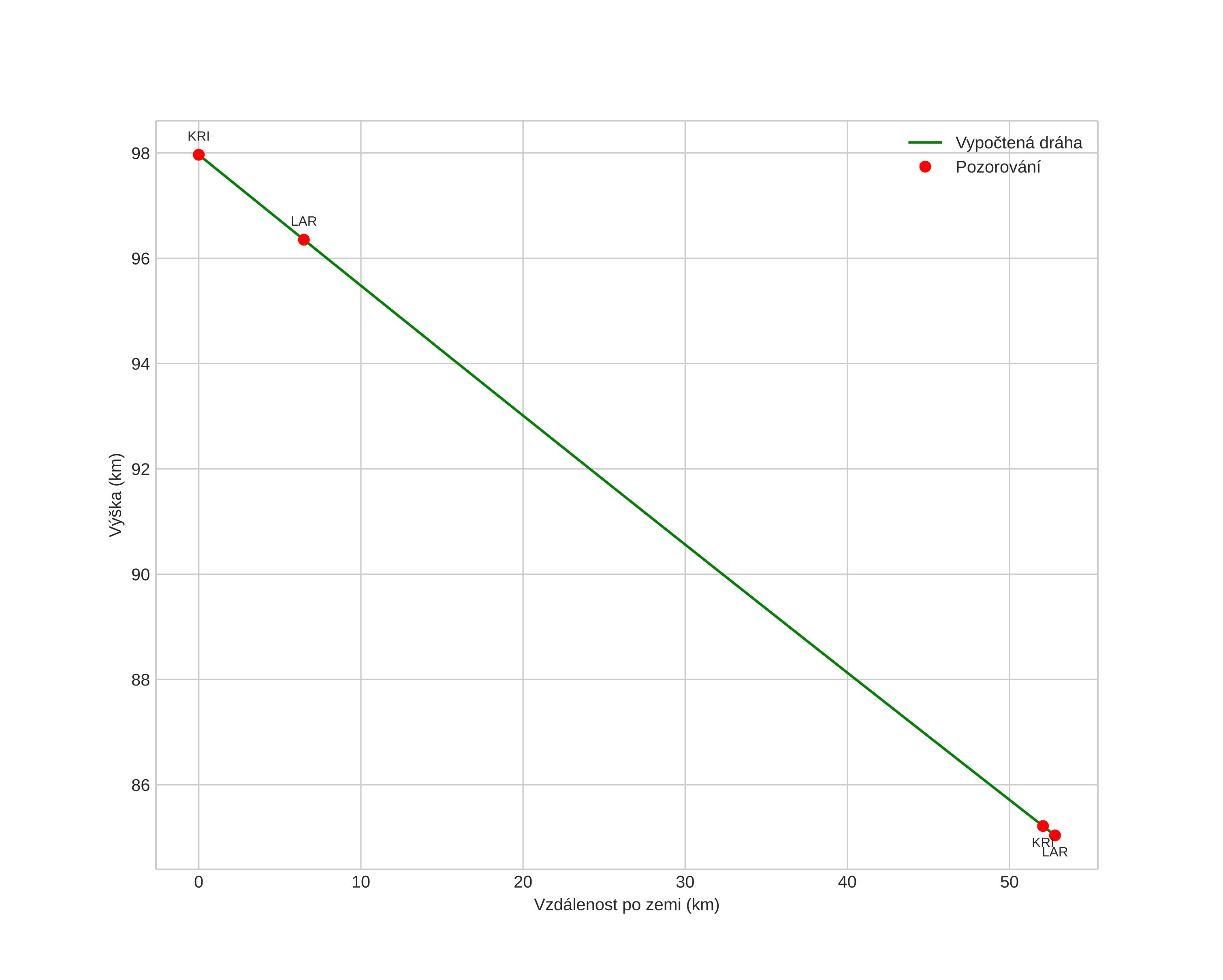
height profile
Atmosférická dráha meteoru:
Počáteční výška: 98,0 km
Konečná výška: 85,0 km
Počáteční poloha: 58,311N 6,801E
Konečná poloha: 58,778N 6,969E
Směr: 10,6°
Sklon: 13,8°
VstupnĂ­ rychlost: 47,5 km/s
Rektascenze radiantu: 12:34 (188,5°)
Deklinace radiantu: -18,4°
MeteorickĂ˝ roj: sporadickĂ˝
Elementy dráhy meteoroidu:
Vzdálenost v periheliu: 0,139 AU
Excentricita: 1,019
Sklon dráhy: 43,0°
Délka vzestupného uzlu: 171,2°
Argument perihelia: 134,7°
Střední anomálie: -1,5°
Epocha: 2022 MAR 12 01:34:23
orbit plot

NeinteraktivnĂ­ graf | InteraktivnĂ­ graf

position vs time
speed and acceleration