🇳🇴 🇬🇧 🇩🇪 🇨🇿 🇫🇮

Meteor, poloha: Tromsø 2022-03-13 01:01:00 UTC

Soubor KML  |  InteraktivnĂ­ mapa

Mapa zobrazuje dráhy meteoru. Světlejší čáry ukazují směry od pozorovacích stanic při objevení se meteoru a tmavší čáry, kde byl naposledy viděn. Modrá šipka značí viditelnou dráhu meteoru.

static map
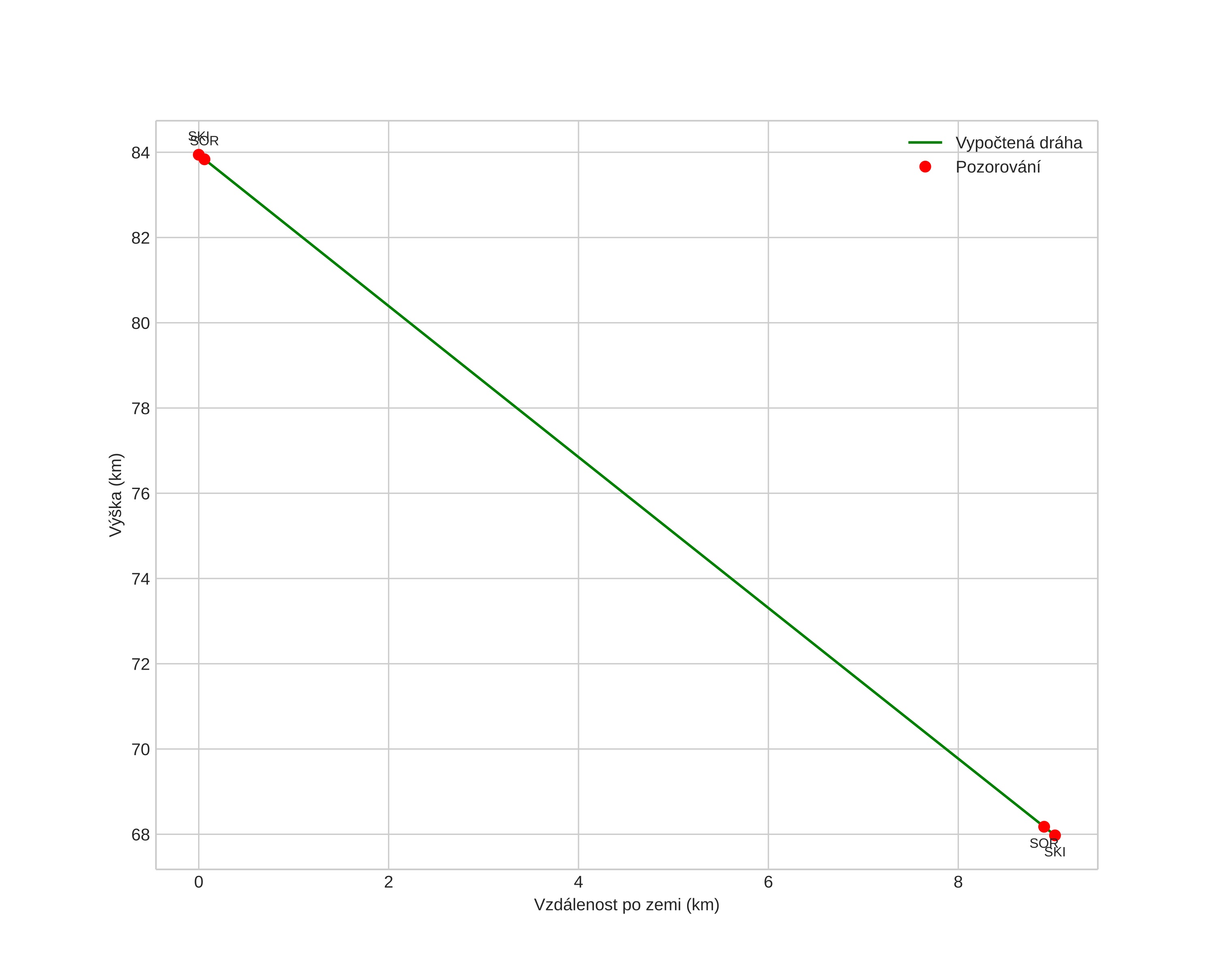
height profile
Atmosférická dráha meteoru:
Počáteční výška: 84,0 km
Konečná výška: 68,0 km
Počáteční poloha: 70,113N 18,035E
Konečná poloha: 70,141N 18,259E
Směr: 70,0°
Sklon: 60,6°
VstupnĂ­ rychlost: 18,4 km/s
Rektascenze radiantu: 10:20 (155,2°)
Deklinace radiantu: 46,5°
MeteorickĂ˝ roj: sporadickĂ˝
Elementy dráhy meteoroidu:
Vzdálenost v periheliu: 0,918 AU
Excentricita: 0,724
Sklon dráhy: 12,5°
Délka vzestupného uzlu: 352,1°
Argument perihelia: 215,1°
Střední anomálie: 355,9°
Epocha: 2022 MAR 13 01:01:00
orbit plot

NeinteraktivnĂ­ graf | InteraktivnĂ­ graf

position vs time
speed and acceleration