🇳🇴 🇬🇧 🇩🇪 🇨🇿 🇫🇮

Meteor Hansnesin yllä 2022-03-13 22:57:04 UTC

KML-tiedosto  |  Interaktiivinen kartta

Kartta näyttää meteorin suuntahavainnot. Vaaleammat viivat näyttävät suunnat havaintoasemilta meteorin ilmestyessä, ja tummemmat viivat näyttävät, missä se viimeksi nähtiin. Sininen nuoli näyttää meteorin näkyvän lennon.

static map
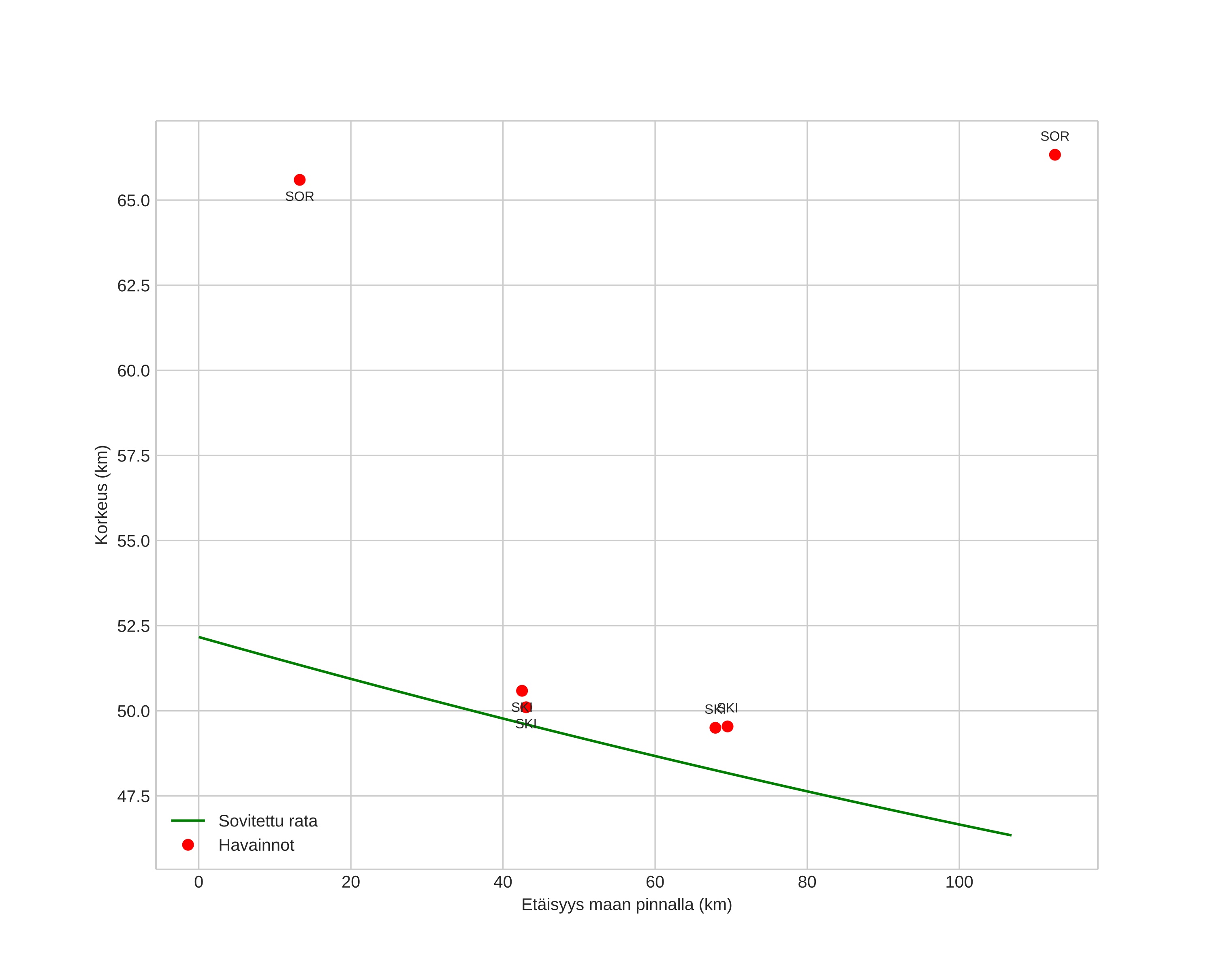
height profile
Meteorin ilmakehärata:
Alkukorkeus: 60,0 km
Loppukorkeus: 50,0 km
Alkupiste: 69,779N 19,996E
Loppupiste: 70,088N 19,929E
Suunta: 355,8°
Kallistuskulma: 16,2°
Tulonopeus: 18,5 km/s
Radiantin R,A,: 11:56 (179,2°)
Radiantin Dekl,: -13,4°
Meteoriparvi: Sporadinen
Meteoroidin rataelementit:
Perihelietäisyys: 0,569 AU
Eksentrisyys: 0,450
Inklinaatio: 6,8°
Nousevan solmun pituus: 173,0°
Perihelin argumentti: 112,2°
Keskianomalia: 300,7°
Epookki: 2022 MAR 13 22:57:04
orbit plot

Ei-interaktiivinen kuvaaja | Interaktiivinen kuvaaja

position vs time
speed and acceleration