🇳🇴 🇬🇧 🇩🇪 🇨🇿 🇫🇮

Meteor, poloha: HenĂĄn 2022-03-15 00:10:11 UTC

Soubor KML  |  InteraktivnĂ­ mapa

Mapa zobrazuje dráhy meteoru. Světlejší čáry ukazují směry od pozorovacích stanic při objevení se meteoru a tmavší čáry, kde byl naposledy viděn. Modrá šipka značí viditelnou dráhu meteoru.

static map
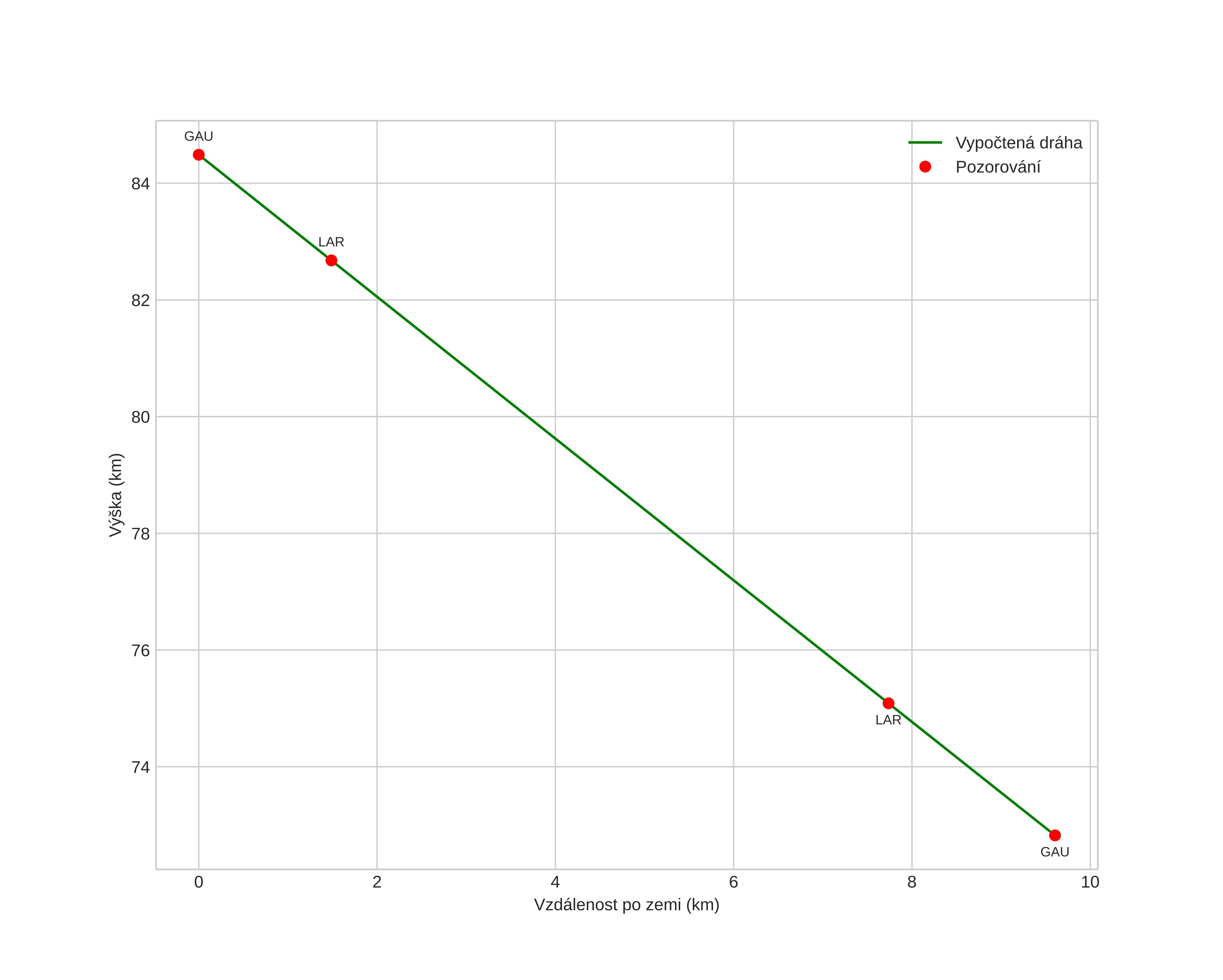
height profile
Atmosférická dráha meteoru:
Počáteční výška: 89,1 km
Konečná výška: 71,7 km
Počáteční poloha: 58,192N 11,584E
Konečná poloha: 58,202N 11,656E
Směr: 75,3°
Sklon: 76,0°
VstupnĂ­ rychlost: 17,3 km/s
Rektascenze radiantu: 10:40 (160,0°)
Deklinace radiantu: 51,0°
MeteorickĂ˝ roj: sporadickĂ˝
Elementy dráhy meteoroidu:
Vzdálenost v periheliu: 0,934 AU
Excentricita: 0,620
Sklon dráhy: 13,2°
Délka vzestupného uzlu: 354,1°
Argument perihelia: 212,7°
Střední anomálie: 353,7°
Epocha: 2022 MAR 15 00:10:11
orbit plot

NeinteraktivnĂ­ graf | InteraktivnĂ­ graf

position vs time
speed and acceleration