🇳🇴 🇬🇧 🇩🇪 🇨🇿 🇫🇮

Meteor, poloha: Koppang 2022-03-15 23:13:52 UTC

Soubor KML  |  InteraktivnĂ­ mapa

Mapa zobrazuje dráhy meteoru. Světlejší čáry ukazují směry od pozorovacích stanic při objevení se meteoru a tmavší čáry, kde byl naposledy viděn. Modrá šipka značí viditelnou dráhu meteoru.

static map
height profile
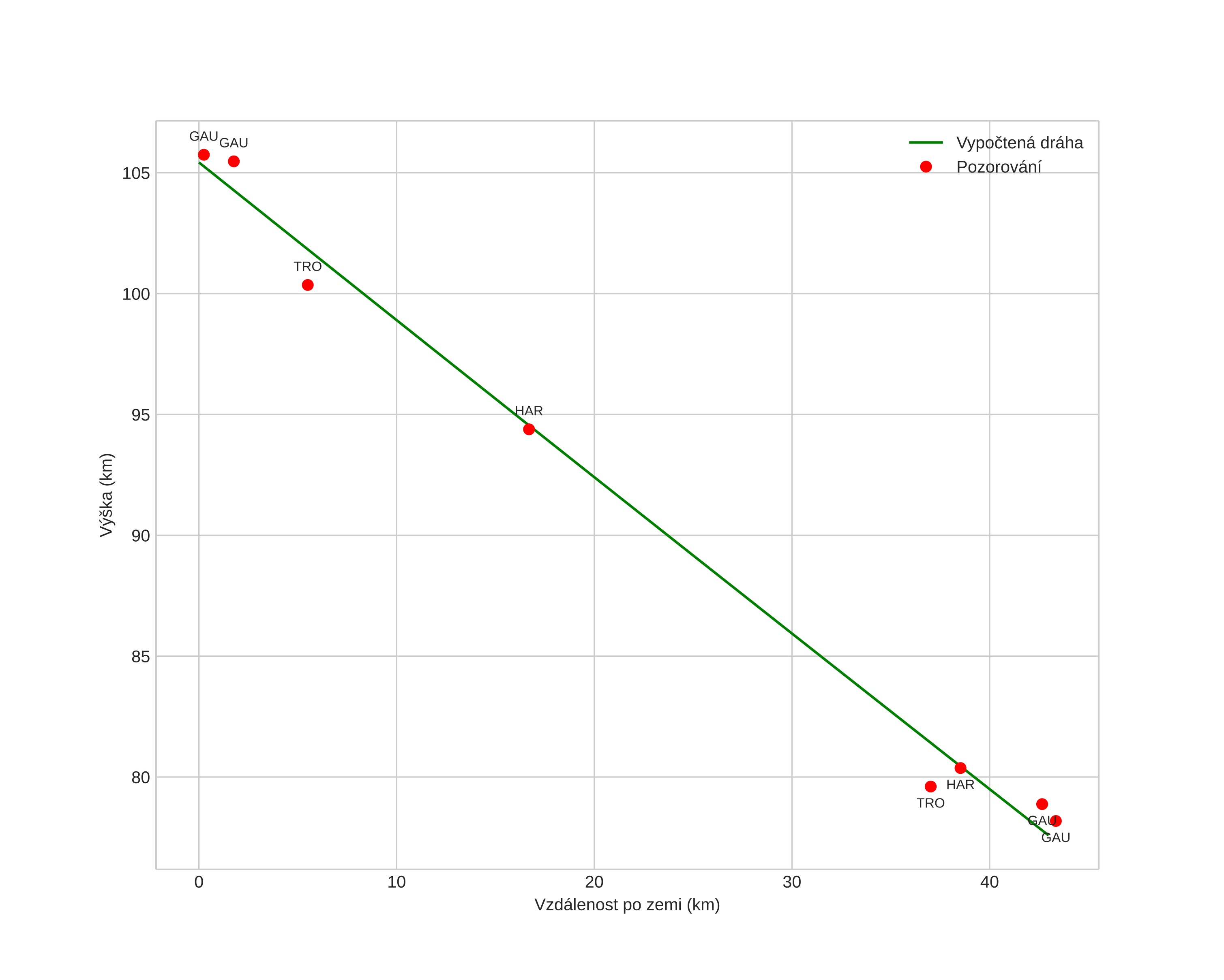
Atmosférická dráha meteoru:
Počáteční výška: 105,8 km
Konečná výška: 77,1 km
Počáteční poloha: 61,821N 12,107E
Konečná poloha: 61,659N 11,336E
Směr: 246,4°
Sklon: 32,9°
VstupnĂ­ rychlost: 47,2 km/s
Rektascenze radiantu: 17:49 (267,4°)
Deklinace radiantu: 39,0°
MeteorickĂ˝ roj: sporadickĂ˝
Elementy dráhy meteoroidu:
Vzdálenost v periheliu: 0,994 AU
Excentricita: 0,926
Sklon dráhy: 77,8°
Délka vzestupného uzlu: 355,0°
Argument perihelia: 178,0°
Střední anomálie: 0,0°
Epocha: 2022 MAR 15 23:13:52
orbit plot

NeinteraktivnĂ­ graf | InteraktivnĂ­ graf

position vs time
speed and acceleration