🇳🇴 🇬🇧 🇩🇪 🇨🇿 🇫🇮

Meteor, poloha: Nærbø 2022-03-19 19:06:27 UTC

Soubor KML  |  InteraktivnĂ­ mapa

Mapa zobrazuje dráhy meteoru. Světlejší čáry ukazují směry od pozorovacích stanic při objevení se meteoru a tmavší čáry, kde byl naposledy viděn. Modrá šipka značí viditelnou dráhu meteoru.

static map
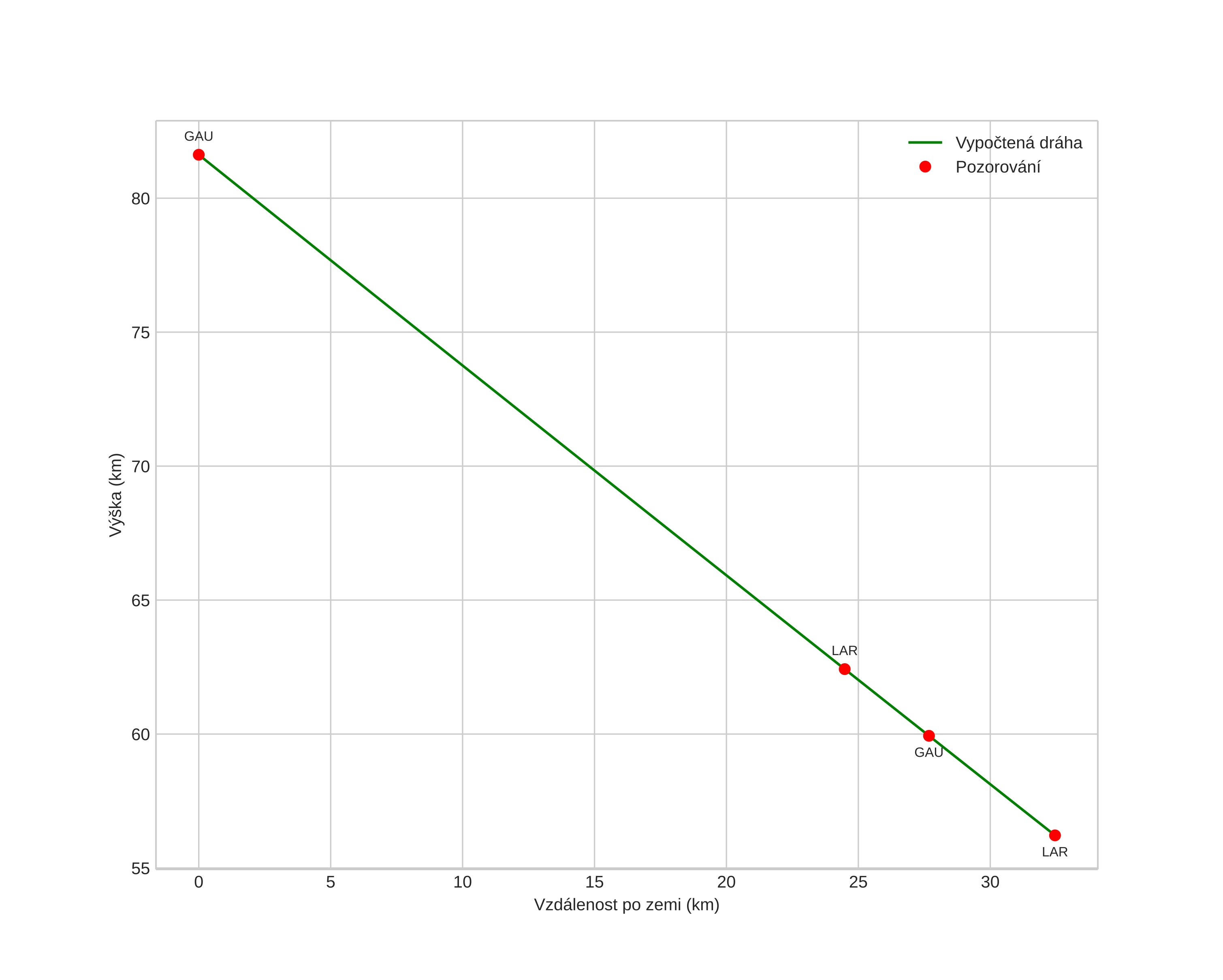
height profile
Atmosférická dráha meteoru:
Počáteční výška: 81,6 km
Konečná výška: 55,8 km
Počáteční poloha: 58,198N 5,324E
Konečná poloha: 58,345N 4,887E
Směr: 302,8°
Sklon: 40,4°
VstupnĂ­ rychlost: 19,5 km/s
Rektascenze radiantu: 10:14 (153,5°)
Deklinace radiantu: 15,0°
MeteorickĂ˝ roj: sporadickĂ˝
Elementy dráhy meteoroidu:
Vzdálenost v periheliu: 0,870 AU
Excentricita: 0,810
Sklon dráhy: 1,6°
Délka vzestupného uzlu: 358,9°
Argument perihelia: 224,1°
Střední anomálie: 357,0°
Epocha: 2022 MAR 19 19:06:27
orbit plot

NeinteraktivnĂ­ graf | InteraktivnĂ­ graf

position vs time
speed and acceleration