🇳🇴 🇬🇧 🇩🇪 🇨🇿 🇫🇮

Meteor, poloha: Prestestranda 2022-03-19 20:42:55 UTC

Soubor KML  |  InteraktivnĂ­ mapa

Mapa zobrazuje dráhy meteoru. Světlejší čáry ukazují směry od pozorovacích stanic při objevení se meteoru a tmavší čáry, kde byl naposledy viděn. Modrá šipka značí viditelnou dráhu meteoru.

static map
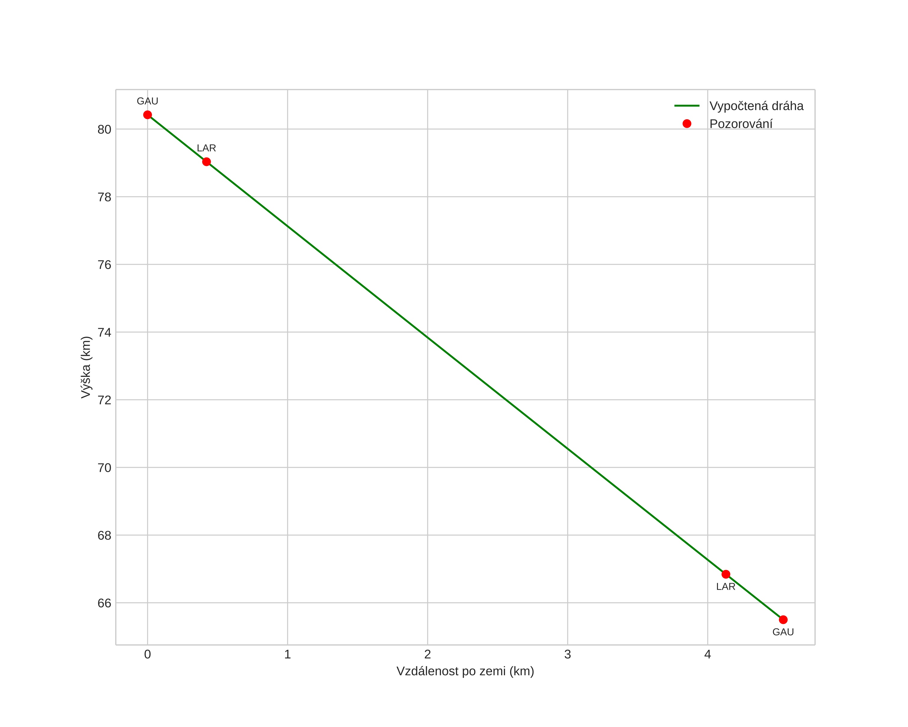
height profile
Atmosférická dráha meteoru:
Počáteční výška: 80,4 km
Konečná výška: 65,7 km
Počáteční poloha: 59,105N 8,945E
Konečná poloha: 59,116N 8,871E
Směr: 286,3°
Sklon: 73,5°
VstupnĂ­ rychlost: 17,7 km/s
Rektascenze radiantu: 10:55 (163,8°)
Deklinace radiantu: 50,4°
MeteorickĂ˝ roj: sporadickĂ˝
Elementy dráhy meteoroidu:
Vzdálenost v periheliu: 0,939 AU
Excentricita: 0,647
Sklon dráhy: 13,6°
Délka vzestupného uzlu: 358,9°
Argument perihelia: 211,2°
Střední anomálie: 354,7°
Epocha: 2022 MAR 19 20:42:55
orbit plot

NeinteraktivnĂ­ graf | InteraktivnĂ­ graf

position vs time
speed and acceleration