🇳🇴 🇬🇧 🇩🇪 🇨🇿 🇫🇮

Meteor, poloha: Langesund 2022-03-21 01:14:27 UTC

Soubor KML  |  InteraktivnĂ­ mapa

Mapa zobrazuje dráhy meteoru. Světlejší čáry ukazují směry od pozorovacích stanic při objevení se meteoru a tmavší čáry, kde byl naposledy viděn. Modrá šipka značí viditelnou dráhu meteoru.

static map
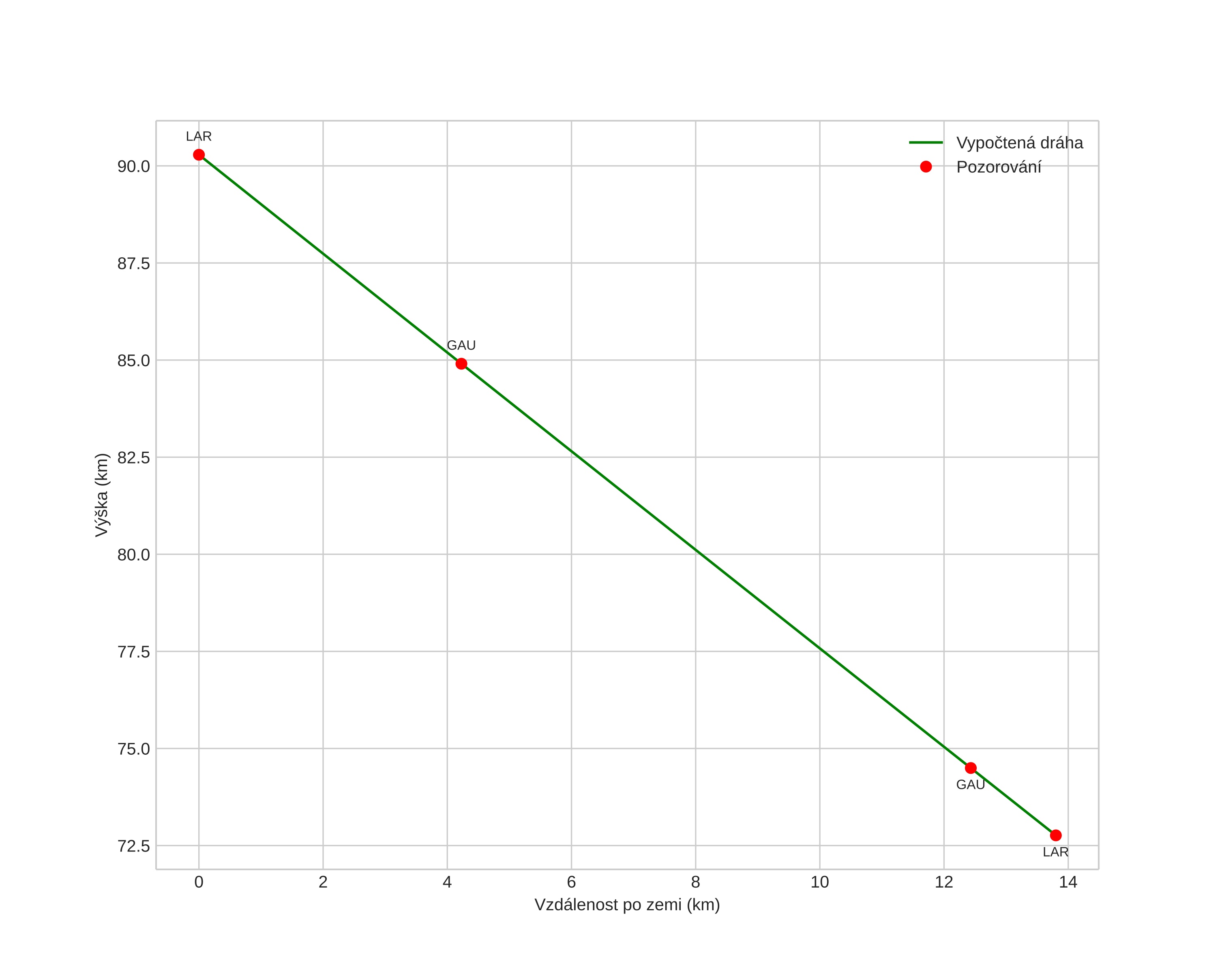
height profile
Atmosférická dráha meteoru:
Počáteční výška: 89,9 km
Konečná výška: 72,3 km
Počáteční poloha: 58,941N 9,533E
Konečná poloha: 59,037N 9,688E
Směr: 39,7°
Sklon: 51,8°
VstupnĂ­ rychlost: 22,9 km/s
Rektascenze radiantu: 11:55 (178,8°)
Deklinace radiantu: 22,8°
MeteorickĂ˝ roj: sporadickĂ˝
Elementy dráhy meteoroidu:
Vzdálenost v periheliu: 0,740 AU
Excentricita: 0,759
Sklon dráhy: 11,8°
Délka vzestupného uzlu: 0,1°
Argument perihelia: 246,1°
Střední anomálie: 352,7°
Epocha: 2022 MAR 21 01:14:27
orbit plot

NeinteraktivnĂ­ graf | InteraktivnĂ­ graf

position vs time
speed and acceleration