🇳🇴 🇬🇧 🇩🇪 🇨🇿 🇫🇮

Meteor, poloha: HjelmelandsvĂĄgen 2022-03-22 19:36:34 UTC

Soubor KML  |  InteraktivnĂ­ mapa

Mapa zobrazuje dráhy meteoru. Světlejší čáry ukazují směry od pozorovacích stanic při objevení se meteoru a tmavší čáry, kde byl naposledy viděn. Modrá šipka značí viditelnou dráhu meteoru.

static map
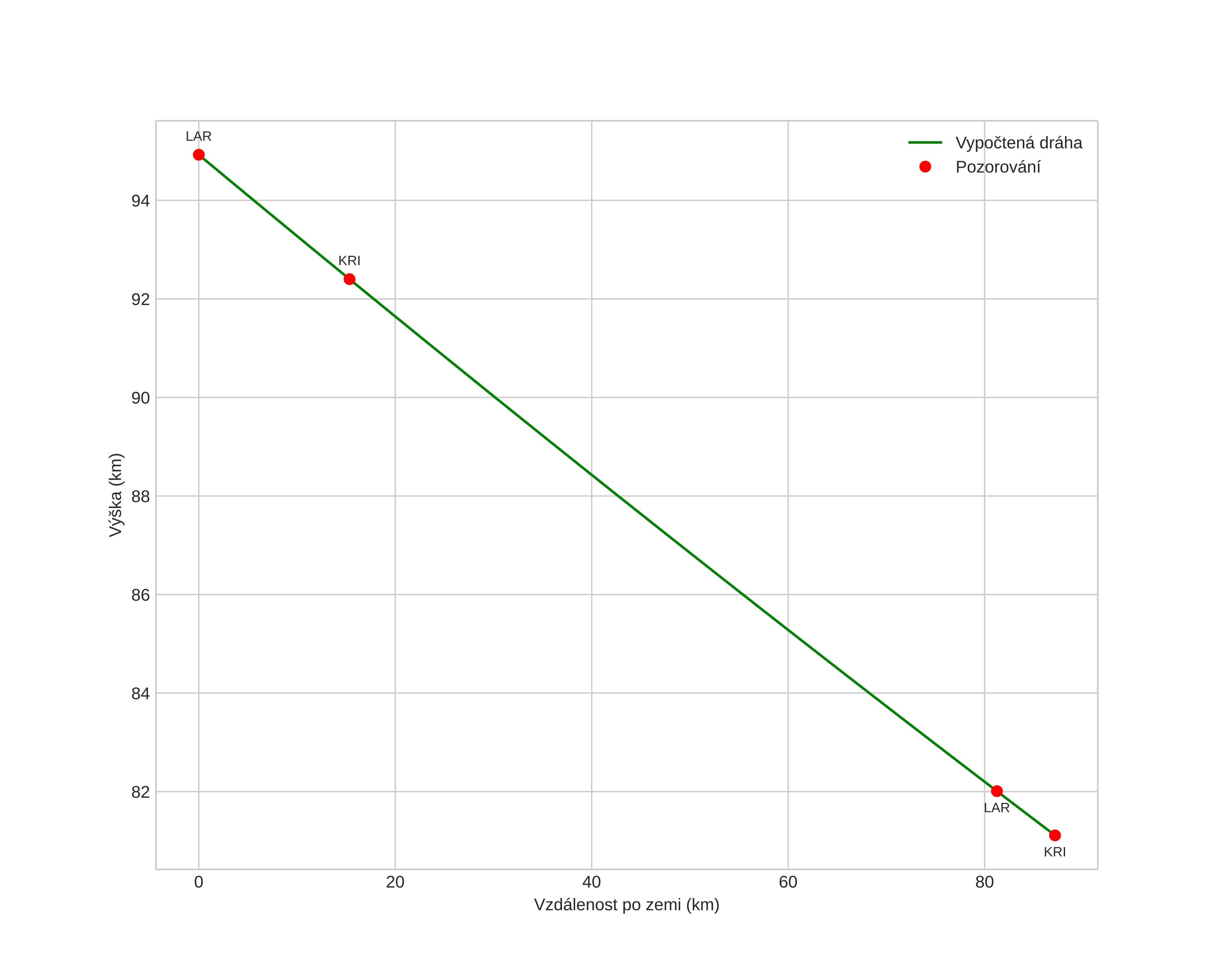
height profile
Atmosférická dráha meteoru:
Počáteční výška: 98,7 km
Konečná výška: 81,1 km
Počáteční poloha: 58,954N 8,373E
Konečná poloha: 59,196N 6,527E
Směr: 285,1°
Sklon: 9,2°
VstupnĂ­ rychlost: 34,8 km/s
Rektascenze radiantu: 13:04 (196,0°)
Deklinace radiantu: -2,0°
MeteorickĂ˝ roj: sporadickĂ˝
Elementy dráhy meteoroidu:
Vzdálenost v periheliu: 0,294 AU
Excentricita: 0,898
Sklon dráhy: 6,6°
Délka vzestupného uzlu: 1,9°
Argument perihelia: 299,4°
Střední anomálie: 352,0°
Epocha: 2022 MAR 22 19:36:34
orbit plot

NeinteraktivnĂ­ graf | InteraktivnĂ­ graf

position vs time
speed and acceleration