🇳🇴 🇬🇧 🇩🇪 🇨🇿 🇫🇮

Meteor, poloha: Hanstholm 2022-03-22 23:52:07 UTC

Soubor KML  |  InteraktivnĂ­ mapa

Mapa zobrazuje dráhy meteoru. Světlejší čáry ukazují směry od pozorovacích stanic při objevení se meteoru a tmavší čáry, kde byl naposledy viděn. Modrá šipka značí viditelnou dráhu meteoru.

static map
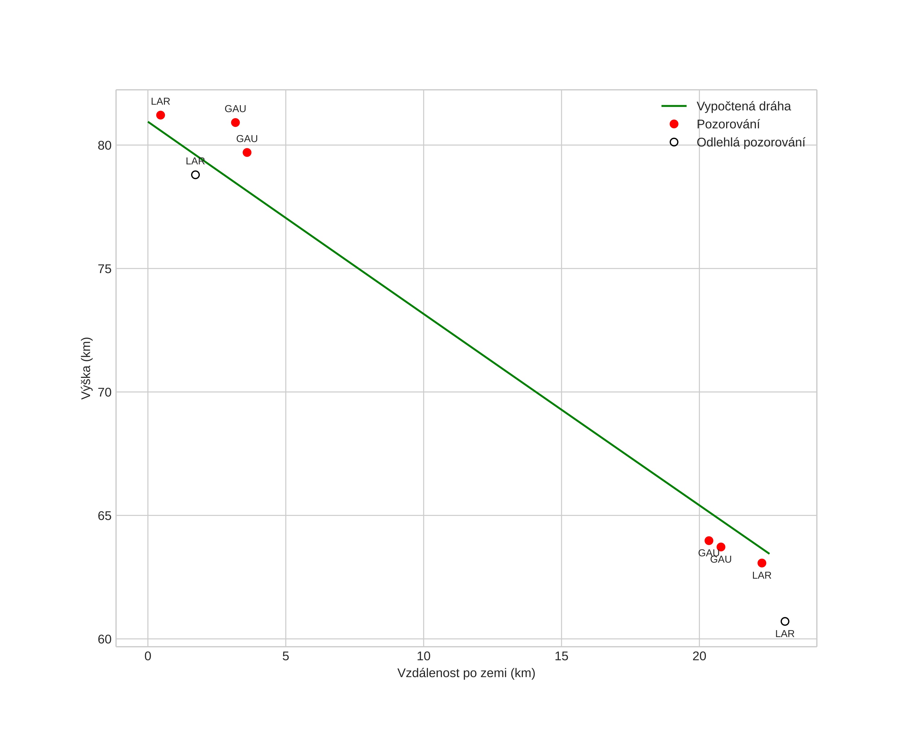
height profile
Atmosférická dráha meteoru:
Počáteční výška: 80,8 km
Konečná výška: 63,7 km
Počáteční poloha: 57,305N 8,613E
Konečná poloha: 57,471N 8,667E
Směr: 9,8°
Sklon: 42,2°
VstupnĂ­ rychlost: 29,5 km/s
Rektascenze radiantu: 11:54 (178,7°)
Deklinace radiantu: 8,0°
MeteorickĂ˝ roj: sporadickĂ˝
Elementy dráhy meteoroidu:
Vzdálenost v periheliu: 0,609 AU
Excentricita: 1,010
Sklon dráhy: 5,6°
Délka vzestupného uzlu: 2,0°
Argument perihelia: 257,0°
Střední anomálie: -0,1°
Epocha: 2022 MAR 22 23:52:07
orbit plot

NeinteraktivnĂ­ graf | InteraktivnĂ­ graf

position vs time
speed and acceleration