🇳🇴 🇬🇧 🇩🇪 🇨🇿 🇫🇮

Meteor, poloha: Bruflat 2022-03-24 00:02:47 UTC

Soubor KML  |  InteraktivnĂ­ mapa

Mapa zobrazuje dráhy meteoru. Světlejší čáry ukazují směry od pozorovacích stanic při objevení se meteoru a tmavší čáry, kde byl naposledy viděn. Modrá šipka značí viditelnou dráhu meteoru.

static map
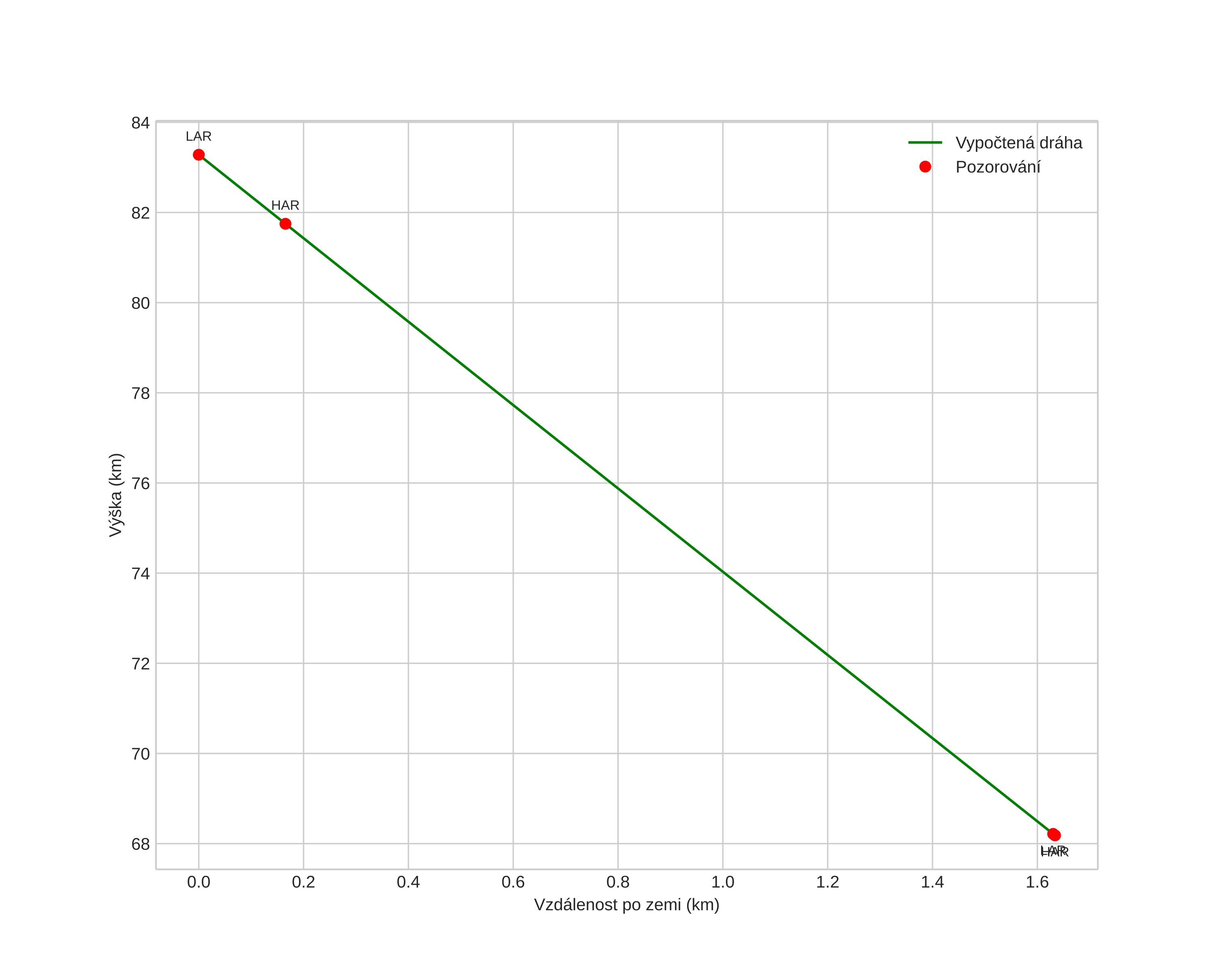
height profile
Atmosférická dráha meteoru:
Počáteční výška: 83,4 km
Konečná výška: 67,9 km
Počáteční poloha: 61,258N 9,649E
Konečná poloha: 61,245N 9,665E
Směr: 149,5°
Sklon: 84,0°
VstupnĂ­ rychlost: 17,7 km/s
Rektascenze radiantu: 12:03 (180,8°)
Deklinace radiantu: 66,7°
MeteorickĂ˝ roj: sporadickĂ˝
Elementy dráhy meteoroidu:
Vzdálenost v periheliu: 0,975 AU
Excentricita: 0,575
Sklon dráhy: 18,4°
Délka vzestupného uzlu: 3,0°
Argument perihelia: 199,9°
Střední anomálie: 355,5°
Epocha: 2022 MAR 24 00:02:47
orbit plot

NeinteraktivnĂ­ graf | InteraktivnĂ­ graf

position vs time
speed and acceleration