🇳🇴 🇬🇧 🇩🇪 🇨🇿 🇫🇮

Meteor, poloha: Andenes 2022-03-26 19:33:44 UTC

Soubor KML  |  InteraktivnĂ­ mapa

Mapa zobrazuje dráhy meteoru. Světlejší čáry ukazují směry od pozorovacích stanic při objevení se meteoru a tmavší čáry, kde byl naposledy viděn. Modrá šipka značí viditelnou dráhu meteoru.

static map
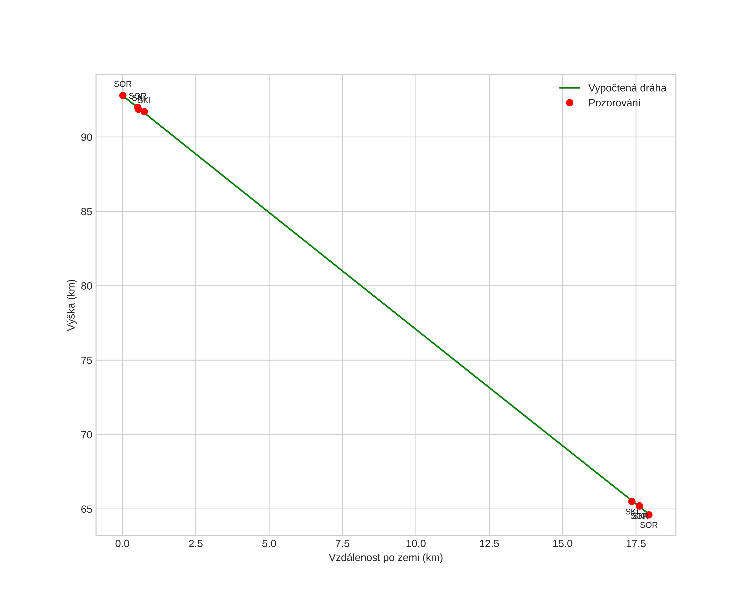
height profile
Atmosférická dráha meteoru:
Počáteční výška: 92,3 km
Konečná výška: 64,6 km
Počáteční poloha: 69,325N 16,991E
Konečná poloha: 69,470N 16,788E
Směr: 333,9°
Sklon: 56,9°
VstupnĂ­ rychlost: 15,9 km/s
Rektascenze radiantu: 10:09 (152,4°)
Deklinace radiantu: 32,2°
MeteorickĂ˝ roj: sporadickĂ˝
Elementy dráhy meteoroidu:
Vzdálenost v periheliu: 0,951 AU
Excentricita: 0,642
Sklon dráhy: 5,8°
Délka vzestupného uzlu: 5,8°
Argument perihelia: 208,3°
Střední anomálie: 355,1°
Epocha: 2022 MAR 26 19:33:44
orbit plot

NeinteraktivnĂ­ graf | InteraktivnĂ­ graf

position vs time
speed and acceleration