🇳🇴 🇬🇧 🇩🇪 🇨🇿 🇫🇮

Meteor, poloha: Hønefoss 2022-03-28 21:10:01 UTC

Soubor KML  |  InteraktivnĂ­ mapa

Mapa zobrazuje dráhy meteoru. Světlejší čáry ukazují směry od pozorovacích stanic při objevení se meteoru a tmavší čáry, kde byl naposledy viděn. Modrá šipka značí viditelnou dráhu meteoru.

static map
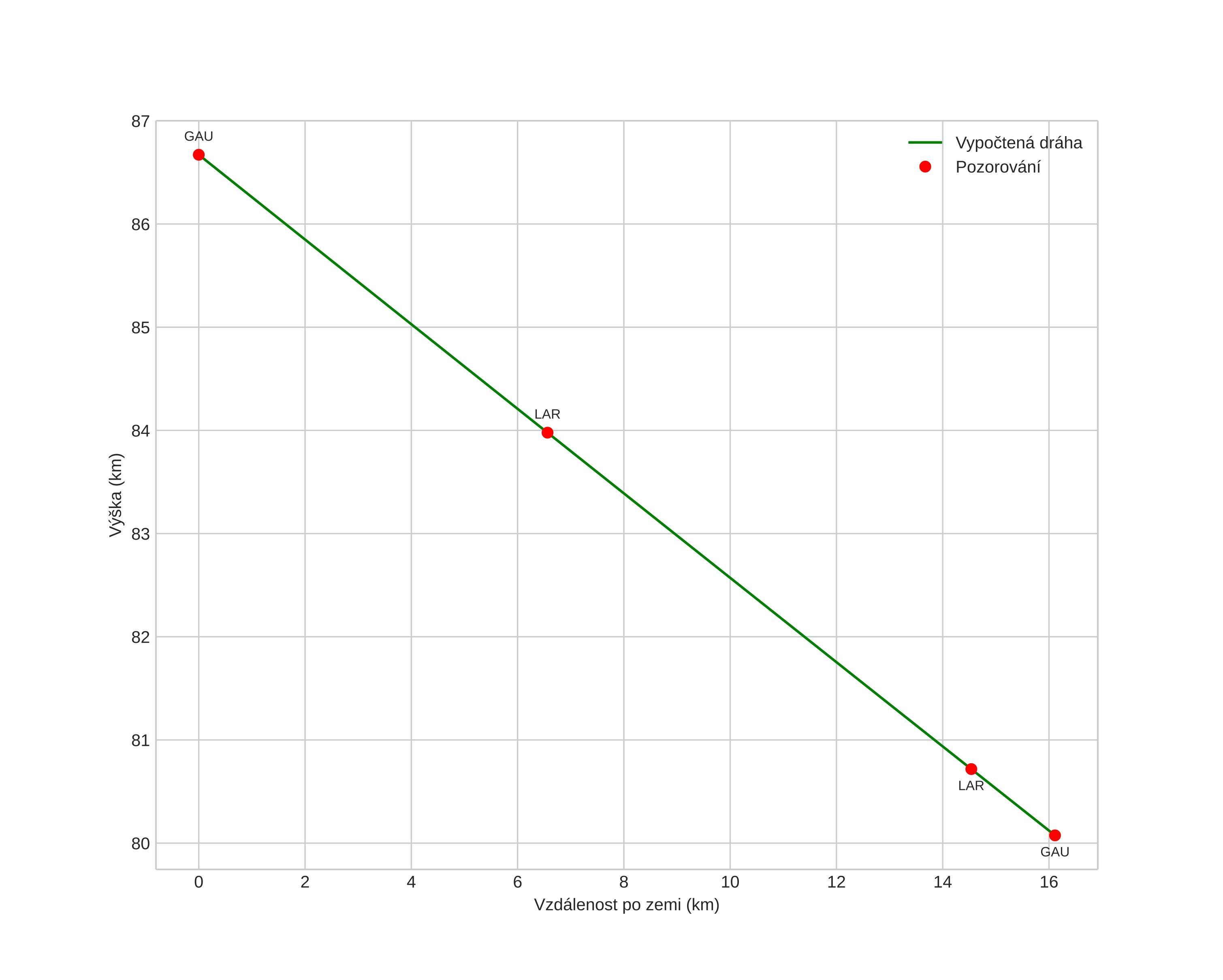
height profile
Atmosférická dráha meteoru:
Počáteční výška: 87,0 km
Konečná výška: 80,1 km
Počáteční poloha: 60,001N 10,434E
Konečná poloha: 60,122N 10,244E
Směr: 322,0°
Sklon: 22,1°
VstupnĂ­ rychlost: 29,4 km/s
Rektascenze radiantu: 12:36 (189,2°)
Deklinace radiantu: -5,0°
MeteorickĂ˝ roj: sporadickĂ˝
Elementy dráhy meteoroidu:
Vzdálenost v periheliu: 0,496 AU
Excentricita: 0,860
Sklon dráhy: 1,0°
Délka vzestupného uzlu: 187,8°
Argument perihelia: 95,2°
Střední anomálie: 353,7°
Epocha: 2022 MAR 28 21:10:01
orbit plot

NeinteraktivnĂ­ graf | InteraktivnĂ­ graf

position vs time
speed and acceleration