🇳🇴 🇬🇧 🇩🇪 🇨🇿 🇫🇮

Meteor, poloha: Ă…motfors 2022-03-28 22:46:45 UTC

Soubor KML  |  InteraktivnĂ­ mapa

Mapa zobrazuje dráhy meteoru. Světlejší čáry ukazují směry od pozorovacích stanic při objevení se meteoru a tmavší čáry, kde byl naposledy viděn. Modrá šipka značí viditelnou dráhu meteoru.

static map
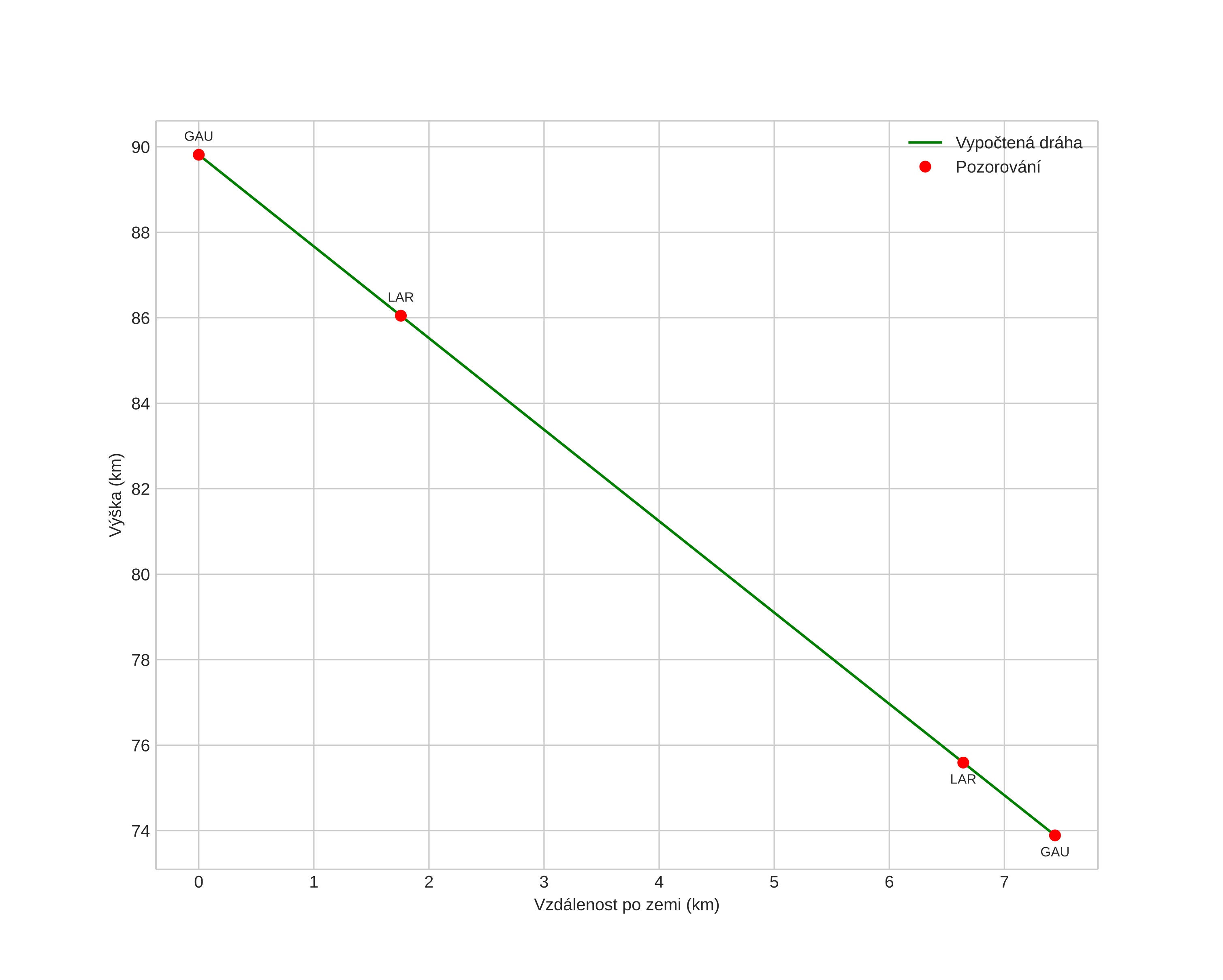
height profile
Atmosférická dráha meteoru:
Počáteční výška: 89,8 km
Konečná výška: 73,9 km
Počáteční poloha: 59,777N 12,235E
Konečná poloha: 59,765N 12,365E
Směr: 100,1°
Sklon: 65,0°
VstupnĂ­ rychlost: 17,4 km/s
Rektascenze radiantu: 08:30 (127,6°)
Deklinace radiantu: 52,8°
MeteorickĂ˝ roj: sporadickĂ˝
Elementy dráhy meteoroidu:
Vzdálenost v periheliu: 0,993 AU
Excentricita: 0,935
Sklon dráhy: 10,2°
Délka vzestupného uzlu: 7,9°
Argument perihelia: 188,7°
Střední anomálie: 359,9°
Epocha: 2022 MAR 28 22:46:45
orbit plot

NeinteraktivnĂ­ graf | InteraktivnĂ­ graf

position vs time
speed and acceleration