🇳🇴 🇬🇧 🇩🇪 🇨🇿 🇫🇮

Meteor, poloha: Fevik 2022-03-30 22:29:03 UTC

Soubor KML  |  InteraktivnĂ­ mapa

Mapa zobrazuje dráhy meteoru. Světlejší čáry ukazují směry od pozorovacích stanic při objevení se meteoru a tmavší čáry, kde byl naposledy viděn. Modrá šipka značí viditelnou dráhu meteoru.

static map
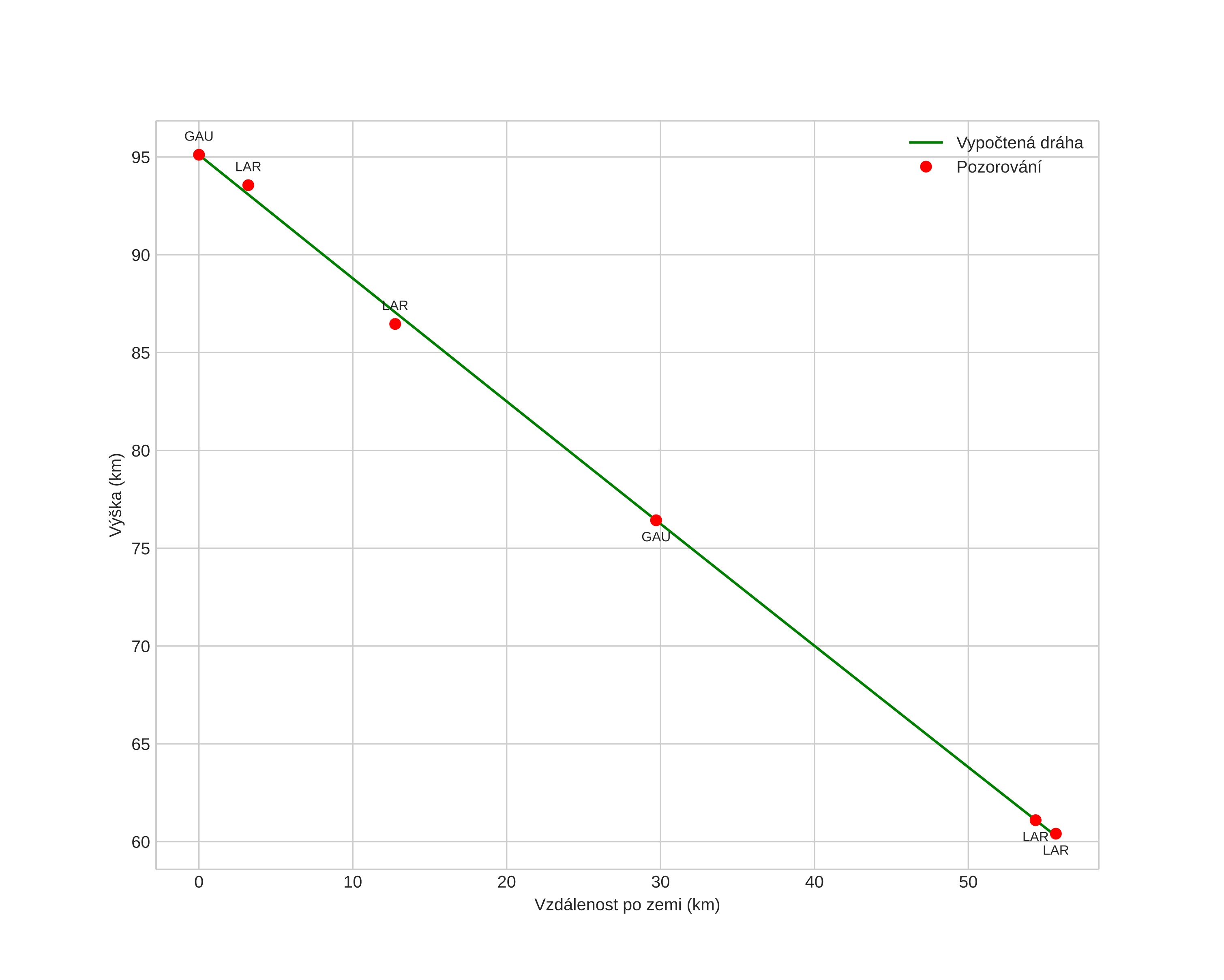
height profile
Atmosférická dráha meteoru:
Počáteční výška: 95,3 km
Konečná výška: 59,1 km
Počáteční poloha: 57,616N 9,335E
Konečná poloha: 58,089N 8,953E
Směr: 336,9°
Sklon: 32,3°
VstupnĂ­ rychlost: 30,6 km/s
Rektascenze radiantu: 12:55 (193,9°)
Deklinace radiantu: -0,1°
MeteorickĂ˝ roj: sporadickĂ˝
Elementy dráhy meteoroidu:
Vzdálenost v periheliu: 0,482 AU
Excentricita: 0,896
Sklon dráhy: 5,4°
Délka vzestupného uzlu: 9,9°
Argument perihelia: 275,4°
Střední anomálie: 355,9°
Epocha: 2022 MAR 30 22:29:03
orbit plot

NeinteraktivnĂ­ graf | InteraktivnĂ­ graf

position vs time
speed and acceleration