🇳🇴 🇬🇧 🇩🇪 🇨🇿 🇫🇮

Meteor, poloha: Lena 2022-04-01 22:57:48 UTC

Soubor KML  |  InteraktivnĂ­ mapa

Mapa zobrazuje dráhy meteoru. Světlejší čáry ukazují směry od pozorovacích stanic při objevení se meteoru a tmavší čáry, kde byl naposledy viděn. Modrá šipka značí viditelnou dráhu meteoru.

static map
height profile
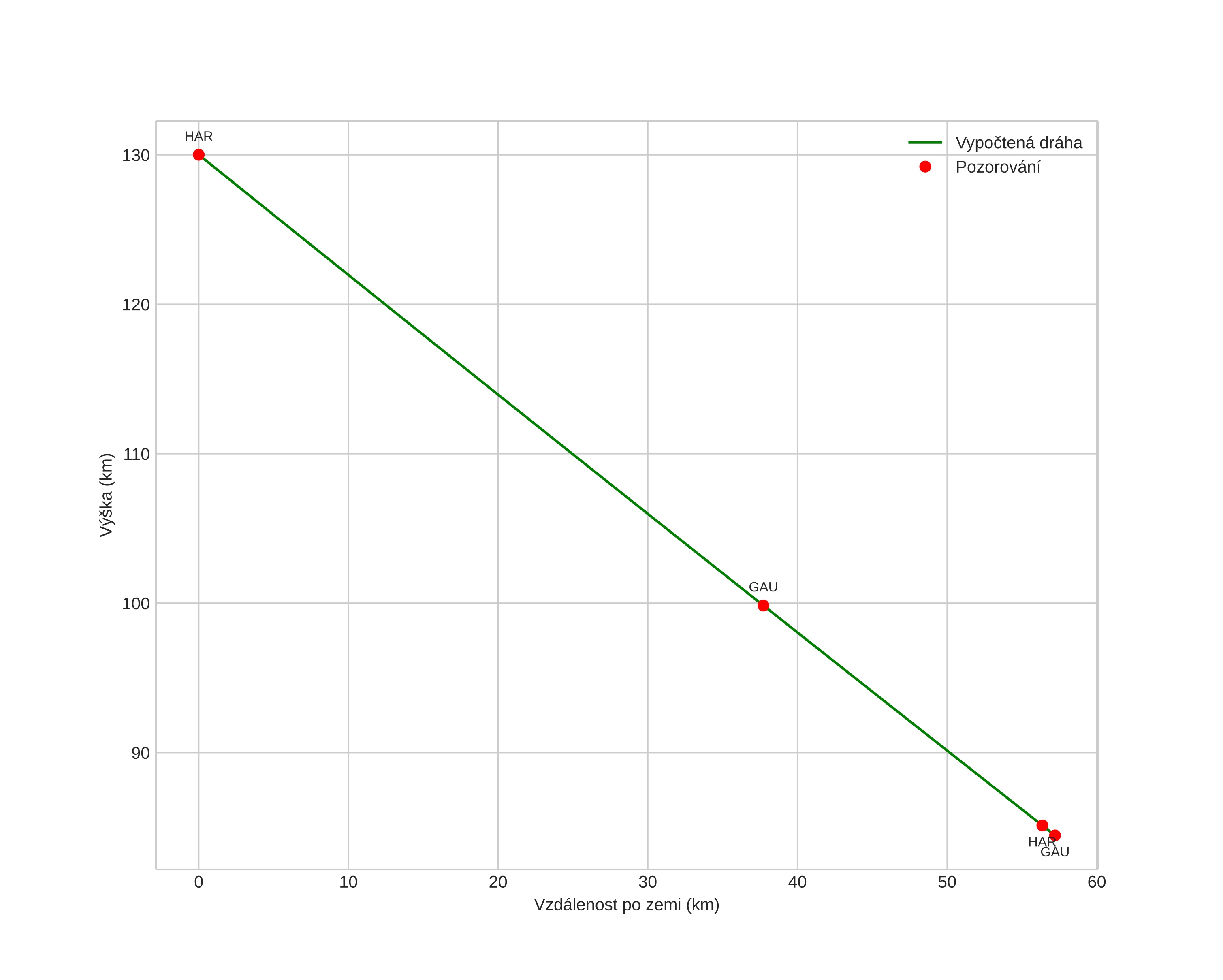
Atmosférická dráha meteoru:
Počáteční výška: 98,2 km
Konečná výška: 82,7 km
Počáteční poloha: 60,553N 10,899E
Konečná poloha: 60,713N 10,733E
Směr: 333,2°
Sklon: 37,8°
VstupnĂ­ rychlost: 29,4 km/s
Rektascenze radiantu: 13:46 (206,6°)
Deklinace radiantu: 8,7°
MeteorickĂ˝ roj: sporadickĂ˝
Elementy dráhy meteoroidu:
Vzdálenost v periheliu: 0,460 AU
Excentricita: 0,779
Sklon dráhy: 18,5°
Délka vzestupného uzlu: 11,9°
Argument perihelia: 283,4°
Střední anomálie: 345,1°
Epocha: 2022 APR 01 22:57:48
orbit plot

NeinteraktivnĂ­ graf | InteraktivnĂ­ graf

position vs time
speed and acceleration