🇳🇴 🇬🇧 🇩🇪 🇨🇿 🇫🇮

Meteor, poloha: HjelmelandsvĂĄgen 2022-04-02 00:34:21 UTC

Soubor KML  |  InteraktivnĂ­ mapa

Mapa zobrazuje dráhy meteoru. Světlejší čáry ukazují směry od pozorovacích stanic při objevení se meteoru a tmavší čáry, kde byl naposledy viděn. Modrá šipka značí viditelnou dráhu meteoru.

static map
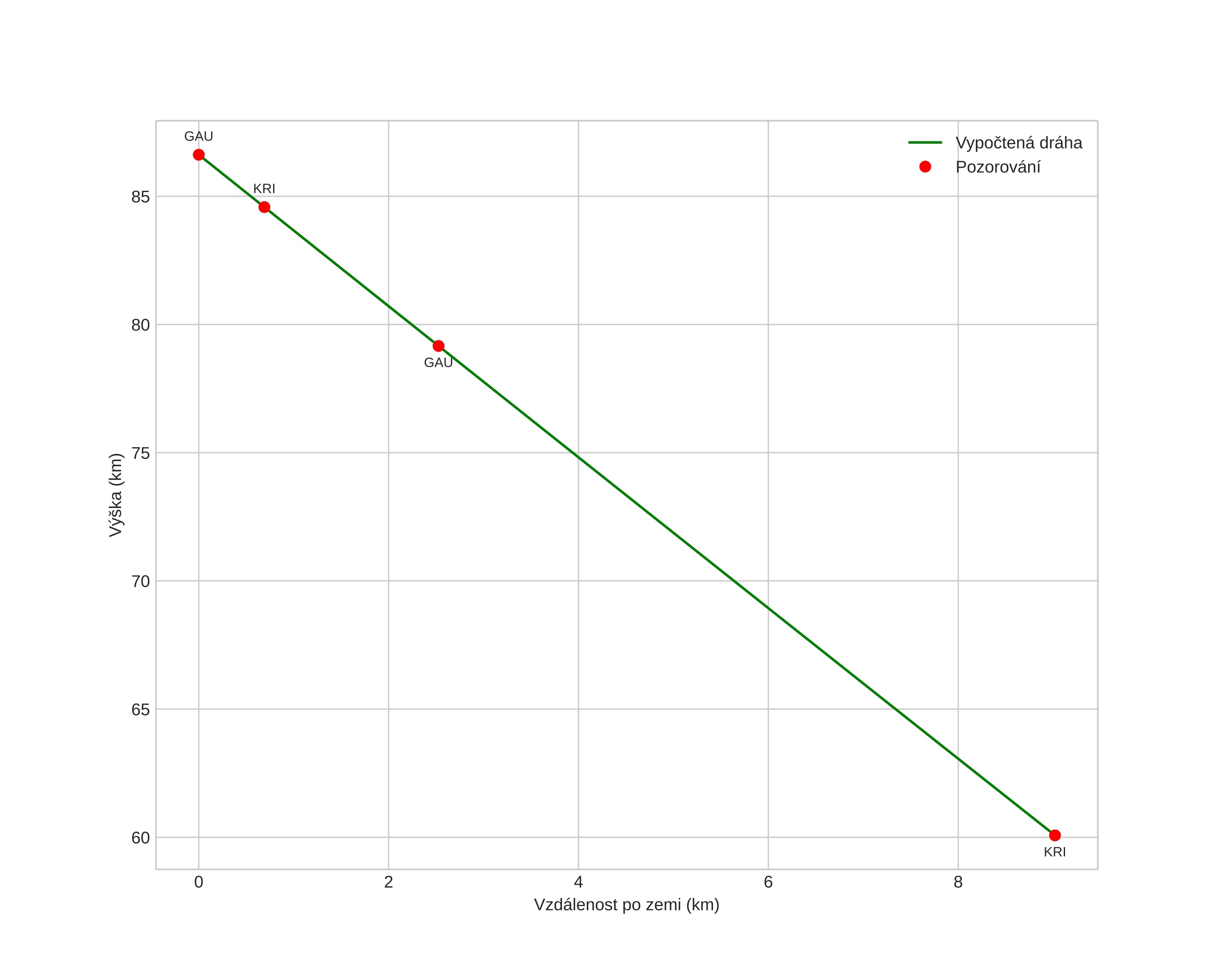
height profile
Atmosférická dráha meteoru:
Počáteční výška: 89,9 km
Konečná výška: 59,5 km
Počáteční poloha: 59,063N 6,143E
Konečná poloha: 59,087N 6,320E
Směr: 75,6°
Sklon: 71,0°
VstupnĂ­ rychlost: 18,7 km/s
Rektascenze radiantu: 11:26 (171,7°)
Deklinace radiantu: 48,6°
MeteorickĂ˝ roj: sporadickĂ˝
Elementy dráhy meteoroidu:
Vzdálenost v periheliu: 0,953 AU
Excentricita: 0,785
Sklon dráhy: 14,7°
Délka vzestupného uzlu: 12,0°
Argument perihelia: 206,5°
Střední anomálie: 358,0°
Epocha: 2022 APR 02 00:34:21
orbit plot

NeinteraktivnĂ­ graf | InteraktivnĂ­ graf

position vs time
speed and acceleration