🇳🇴 🇬🇧 🇩🇪 🇨🇿 🇫🇮

Meteor, poloha: Innbygda 2022-04-02 01:22:33 UTC

Soubor KML  |  InteraktivnĂ­ mapa

Mapa zobrazuje dráhy meteoru. Světlejší čáry ukazují směry od pozorovacích stanic při objevení se meteoru a tmavší čáry, kde byl naposledy viděn. Modrá šipka značí viditelnou dráhu meteoru.

static map
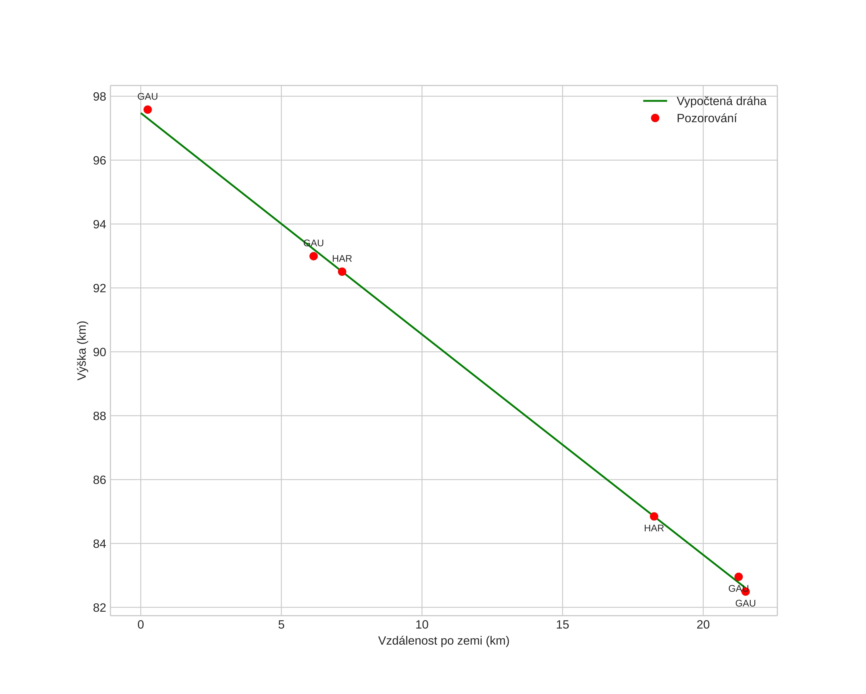
height profile
Atmosférická dráha meteoru:
Počáteční výška: 98,9 km
Konečná výška: 82,7 km
Počáteční poloha: 61,098N 11,773E
Konečná poloha: 61,279N 11,935E
Směr: 23,3°
Sklon: 36,5°
VstupnĂ­ rychlost: 30,6 km/s
Rektascenze radiantu: 13:31 (202,8°)
Deklinace radiantu: 7,5°
MeteorickĂ˝ roj: sporadickĂ˝
Elementy dráhy meteoroidu:
Vzdálenost v periheliu: 0,473 AU
Excentricita: 0,853
Sklon dráhy: 16,2°
Délka vzestupného uzlu: 12,0°
Argument perihelia: 278,2°
Střední anomálie: 352,7°
Epocha: 2022 APR 02 01:22:33
orbit plot

NeinteraktivnĂ­ graf | InteraktivnĂ­ graf

position vs time
speed and acceleration