🇳🇴 🇬🇧 🇩🇪 🇨🇿 🇫🇮

Meteor Vallen yllä 2022-04-02 03:13:59 UTC

KML-tiedosto  |  Interaktiivinen kartta

Kartta näyttää meteorin suuntahavainnot. Vaaleammat viivat näyttävät suunnat havaintoasemilta meteorin ilmestyessä, ja tummemmat viivat näyttävät, missä se viimeksi nähtiin. Sininen nuoli näyttää meteorin näkyvän lennon.

static map
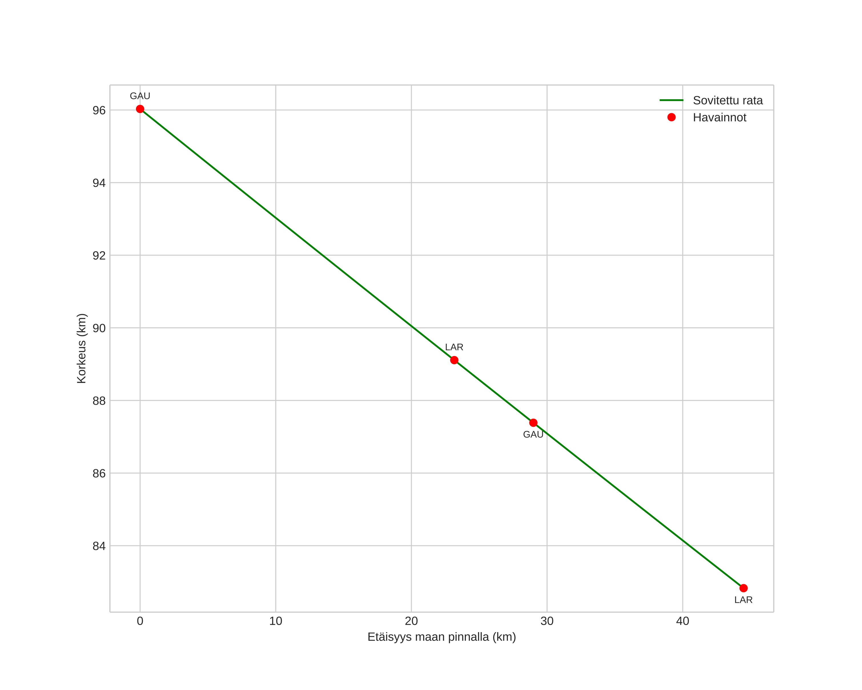
height profile
Meteorin ilmakehärata:
Alkukorkeus: 96,0 km
Loppukorkeus: 82,9 km
Alkupiste: 58,973N 6,935E
Loppupiste: 59,108N 7,660E
Suunta: 69,9°
Kallistuskulma: 16,5°
Tulonopeus: 21,7 km/s
Radiantin R,A,: 11:50 (177,7°)
Radiantin Dekl,: -1,2°
Meteoriparvi: Sporadinen
Meteoroidin rataelementit:
Perihelietäisyys: 0,752 AU
Eksentrisyys: 0,761
Inklinaatio: 1,1°
Nousevan solmun pituus: 192,0°
Perihelin argumentti: 64,8°
Keskianomalia: 353,0°
Epookki: 2022 APR 02 03:13:59
orbit plot

Ei-interaktiivinen kuvaaja | Interaktiivinen kuvaaja

position vs time
speed and acceleration