🇳🇴 🇬🇧 🇩🇪 🇨🇿 🇫🇮

Meteor, poloha: Nørre Bindslev 2022-04-05 19:22:40 UTC

Soubor KML  |  InteraktivnĂ­ mapa

Mapa zobrazuje dráhy meteoru. Světlejší čáry ukazují směry od pozorovacích stanic při objevení se meteoru a tmavší čáry, kde byl naposledy viděn. Modrá šipka značí viditelnou dráhu meteoru.

static map
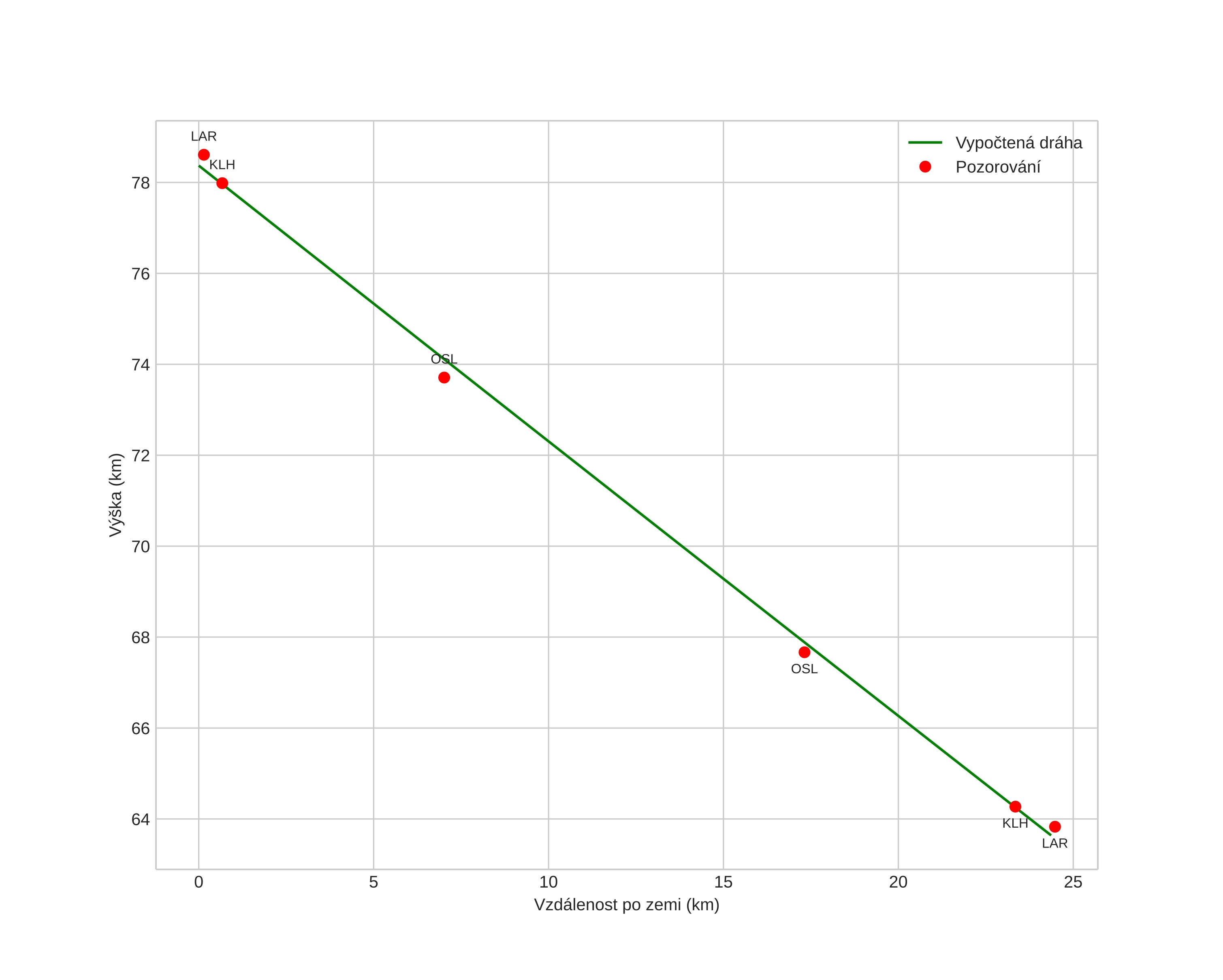
height profile
Atmosférická dráha meteoru:
Počáteční výška: 78,4 km
Konečná výška: 63,6 km
Počáteční poloha: 57,633N 10,480E
Konečná poloha: 57,737N 10,119E
Směr: 298,4°
Sklon: 31,3°
VstupnĂ­ rychlost: 20,8 km/s
Rektascenze radiantu: 12:29 (187,4°)
Deklinace radiantu: 8,2°
MeteorickĂ˝ roj: sporadickĂ˝
Elementy dráhy meteoroidu:
Vzdálenost v periheliu: 0,759 AU
Excentricita: 0,669
Sklon dráhy: 5,4°
Délka vzestupného uzlu: 15,7°
Argument perihelia: 246,5°
Střední anomálie: 348,1°
Epocha: 2022 APR 05 19:22:40
orbit plot

NeinteraktivnĂ­ graf | InteraktivnĂ­ graf

position vs time
speed and acceleration