🇳🇴 🇬🇧 🇩🇪 🇨🇿 🇫🇮

Meteor, poloha: Klitmøller 2022-04-08 23:29:09 UTC

Soubor KML  |  InteraktivnĂ­ mapa

Mapa zobrazuje dráhy meteoru. Světlejší čáry ukazují směry od pozorovacích stanic při objevení se meteoru a tmavší čáry, kde byl naposledy viděn. Modrá šipka značí viditelnou dráhu meteoru.

static map
height profile
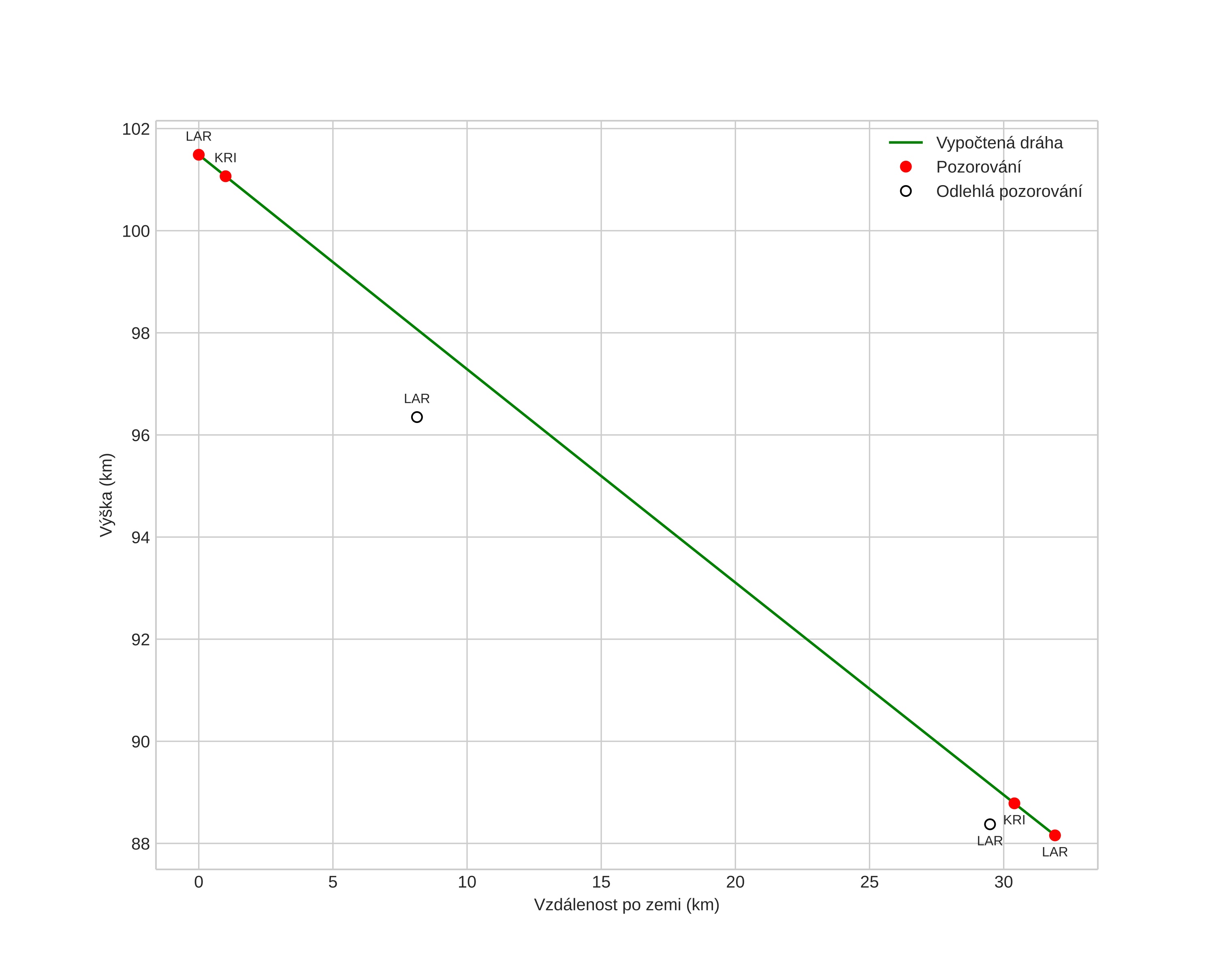
Atmosférická dráha meteoru:
Počáteční výška: 101,4 km
Konečná výška: 88,2 km
Počáteční poloha: 57,091N 8,339E
Konečná poloha: 57,259N 7,909E
Směr: 305,9°
Sklon: 22,5°
VstupnĂ­ rychlost: 60,2 km/s
Rektascenze radiantu: 16:24 (246,0°)
Deklinace radiantu: 0,9°
MeteorickĂ˝ roj: sporadickĂ˝
Elementy dráhy meteoroidu:
Vzdálenost v periheliu: 0,313 AU
Excentricita: 1,089
Sklon dráhy: 111,9°
Délka vzestupného uzlu: 18,8°
Argument perihelia: 288,6°
Střední anomálie: -5,2°
Epocha: 2022 APR 08 23:29:09
orbit plot

NeinteraktivnĂ­ graf | InteraktivnĂ­ graf

position vs time
speed and acceleration