🇳🇴 🇬🇧 🇩🇪 🇨🇿 🇫🇮

Meteor, poloha: Skudeneshavn 2022-04-10 21:24:17 UTC

Soubor KML  |  InteraktivnĂ­ mapa

Mapa zobrazuje dráhy meteoru. Světlejší čáry ukazují směry od pozorovacích stanic při objevení se meteoru a tmavší čáry, kde byl naposledy viděn. Modrá šipka značí viditelnou dráhu meteoru.

static map
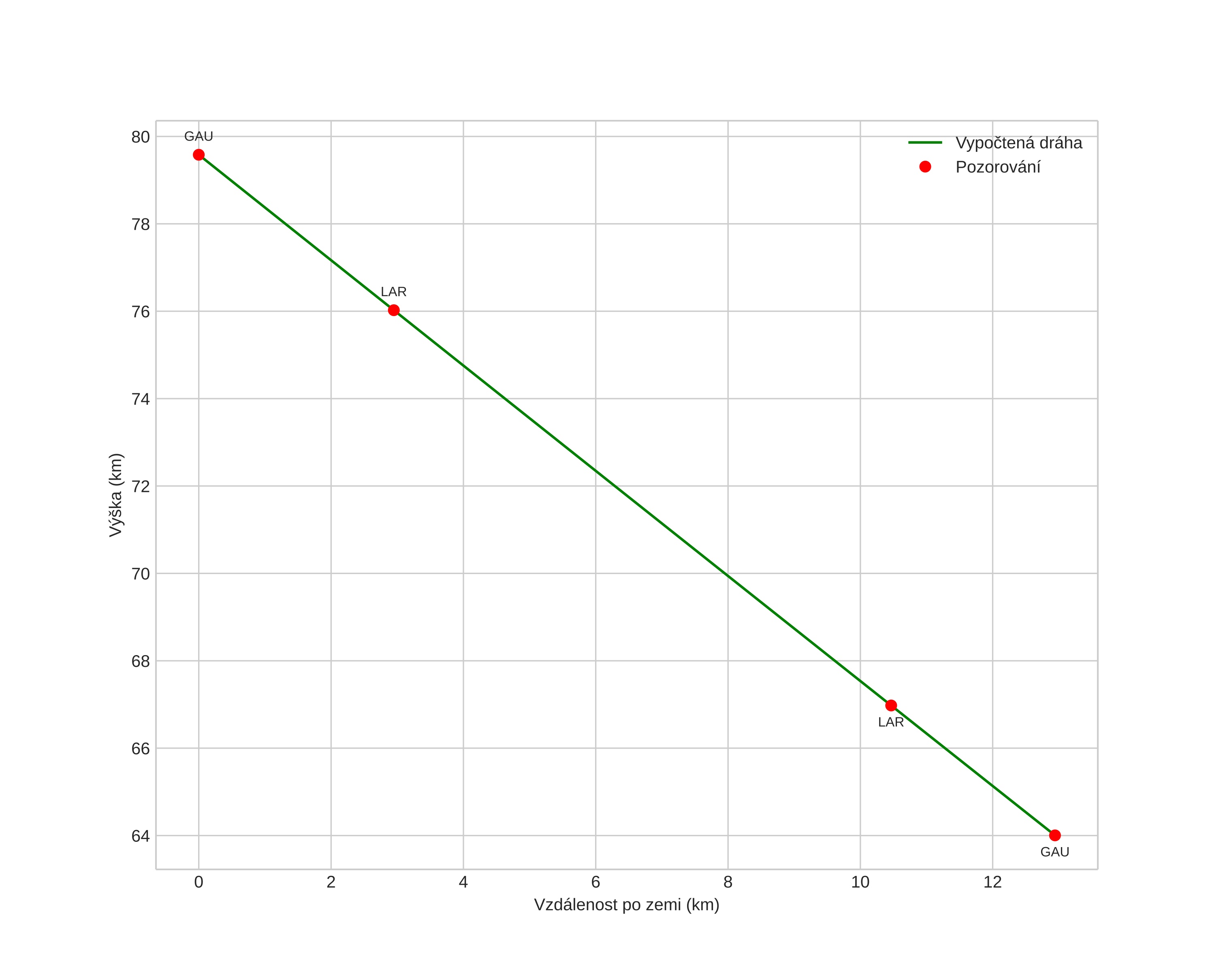
height profile
Atmosférická dráha meteoru:
Počáteční výška: 81,4 km
Konečná výška: 63,4 km
Počáteční poloha: 58,591N 5,215E
Konečná poloha: 58,701N 5,050E
Směr: 322,1°
Sklon: 49,2°
VstupnĂ­ rychlost: 23,2 km/s
Rektascenze radiantu: 12:44 (191,1°)
Deklinace radiantu: 19,7°
MeteorickĂ˝ roj: sporadickĂ˝
Elementy dráhy meteoroidu:
Vzdálenost v periheliu: 0,806 AU
Excentricita: 0,877
Sklon dráhy: 12,2°
Délka vzestupného uzlu: 20,7°
Argument perihelia: 234,5°
Střední anomálie: 358,0°
Epocha: 2022 APR 10 21:24:17
orbit plot

NeinteraktivnĂ­ graf | InteraktivnĂ­ graf

position vs time
speed and acceleration