🇳🇴 🇬🇧 🇩🇪 🇨🇿 🇫🇮

Meteor, poloha: Lena 2022-04-10 22:55:58 UTC

Soubor KML  |  InteraktivnĂ­ mapa

Mapa zobrazuje dráhy meteoru. Světlejší čáry ukazují směry od pozorovacích stanic při objevení se meteoru a tmavší čáry, kde byl naposledy viděn. Modrá šipka značí viditelnou dráhu meteoru.

static map
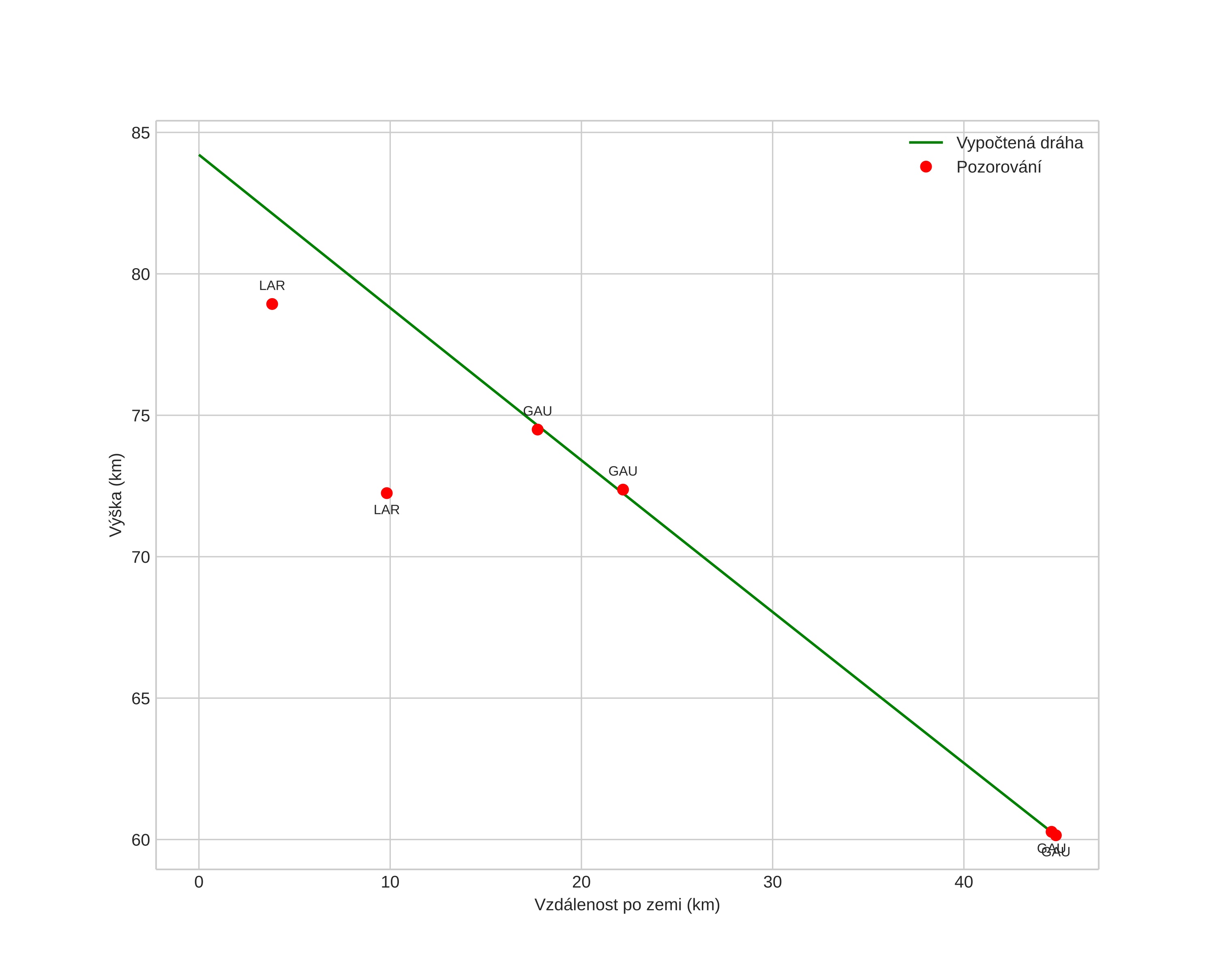
height profile
Atmosférická dráha meteoru:
Počáteční výška: 111,8 km
Konečná výška: 90,4 km
Počáteční poloha: 60,653N 11,549E
Konečná poloha: 60,761N 10,848E
Směr: 287,8°
Sklon: 28,2°
VstupnĂ­ rychlost: 55,9 km/s
Rektascenze radiantu: 17:01 (255,5°)
Deklinace radiantu: 15,7°
MeteorickĂ˝ roj: sporadickĂ˝
Elementy dráhy meteoroidu:
Vzdálenost v periheliu: 0,636 AU
Excentricita: 1,053
Sklon dráhy: 96,4°
Délka vzestupného uzlu: 20,7°
Argument perihelia: 253,3°
Střední anomálie: -0,9°
Epocha: 2022 APR 10 22:55:58
orbit plot

NeinteraktivnĂ­ graf | InteraktivnĂ­ graf

position vs time
speed and acceleration