🇳🇴 🇬🇧 🇩🇪 🇨🇿 🇫🇮

Meteor, poloha: Sauland 2022-04-11 01:45:48 UTC

Soubor KML  |  InteraktivnĂ­ mapa

Mapa zobrazuje dráhy meteoru. Světlejší čáry ukazují směry od pozorovacích stanic při objevení se meteoru a tmavší čáry, kde byl naposledy viděn. Modrá šipka značí viditelnou dráhu meteoru.

static map
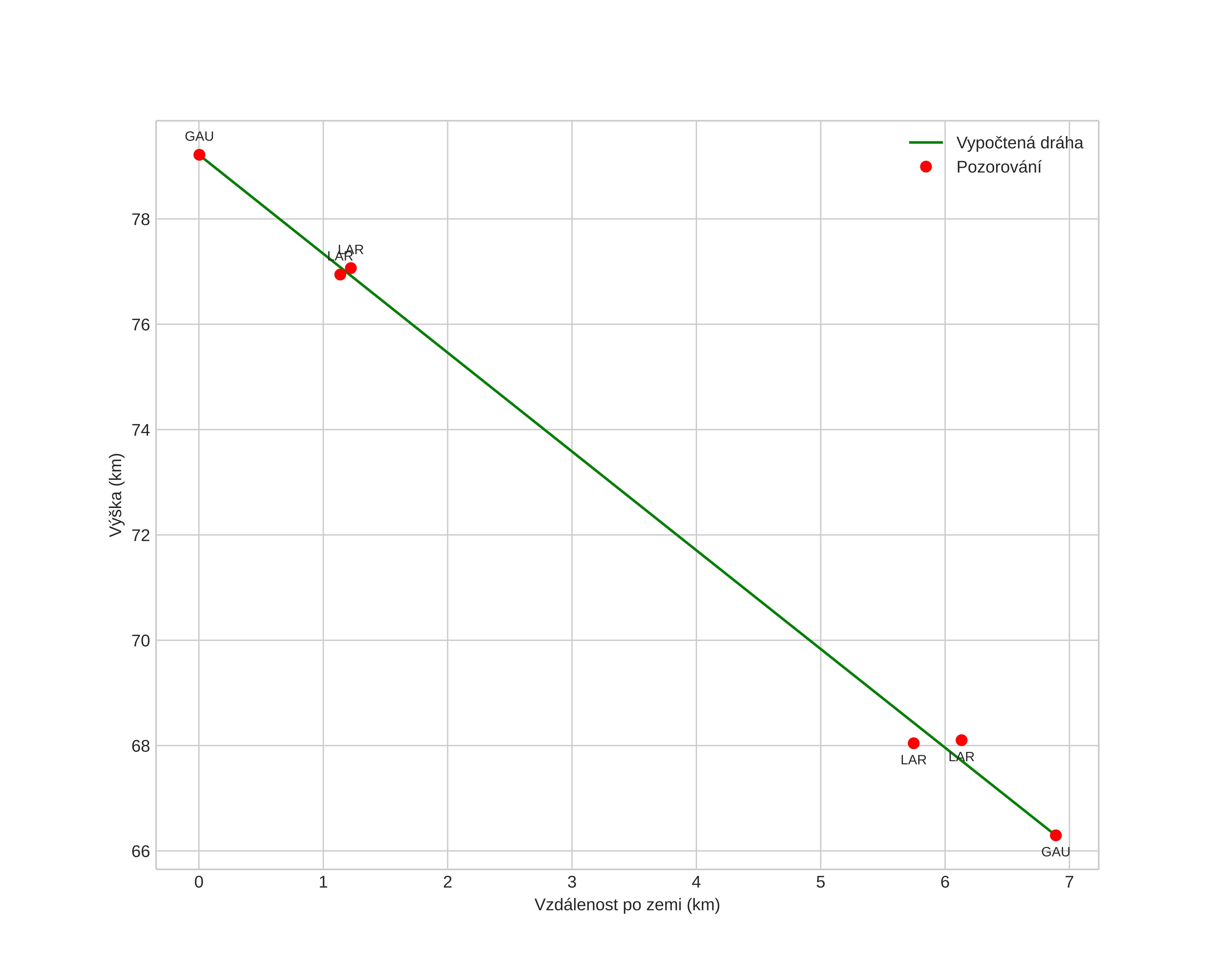
height profile
Atmosférická dráha meteoru:
Počáteční výška: 79,1 km
Konečná výška: 66,2 km
Počáteční poloha: 59,794N 8,927E
Konečná poloha: 59,734N 8,931E
Směr: 178,4°
Sklon: 62,7°
VstupnĂ­ rychlost: 17,6 km/s
Rektascenze radiantu: 08:25 (126,5°)
Deklinace radiantu: 88,3°
MeteorickĂ˝ roj: sporadickĂ˝
Elementy dráhy meteoroidu:
Vzdálenost v periheliu: 0,997 AU
Excentricita: 0,575
Sklon dráhy: 19,4°
Délka vzestupného uzlu: 20,9°
Argument perihelia: 170,3°
Střední anomálie: 2,1°
Epocha: 2022 APR 11 01:45:48
orbit plot

NeinteraktivnĂ­ graf | InteraktivnĂ­ graf

position vs time
speed and acceleration