🇳🇴 🇬🇧 🇩🇪 🇨🇿 🇫🇮

Meteor, poloha: Sunds 2022-04-12 00:46:18 UTC

Soubor KML  |  InteraktivnĂ­ mapa

Mapa zobrazuje dráhy meteoru. Světlejší čáry ukazují směry od pozorovacích stanic při objevení se meteoru a tmavší čáry, kde byl naposledy viděn. Modrá šipka značí viditelnou dráhu meteoru.

static map
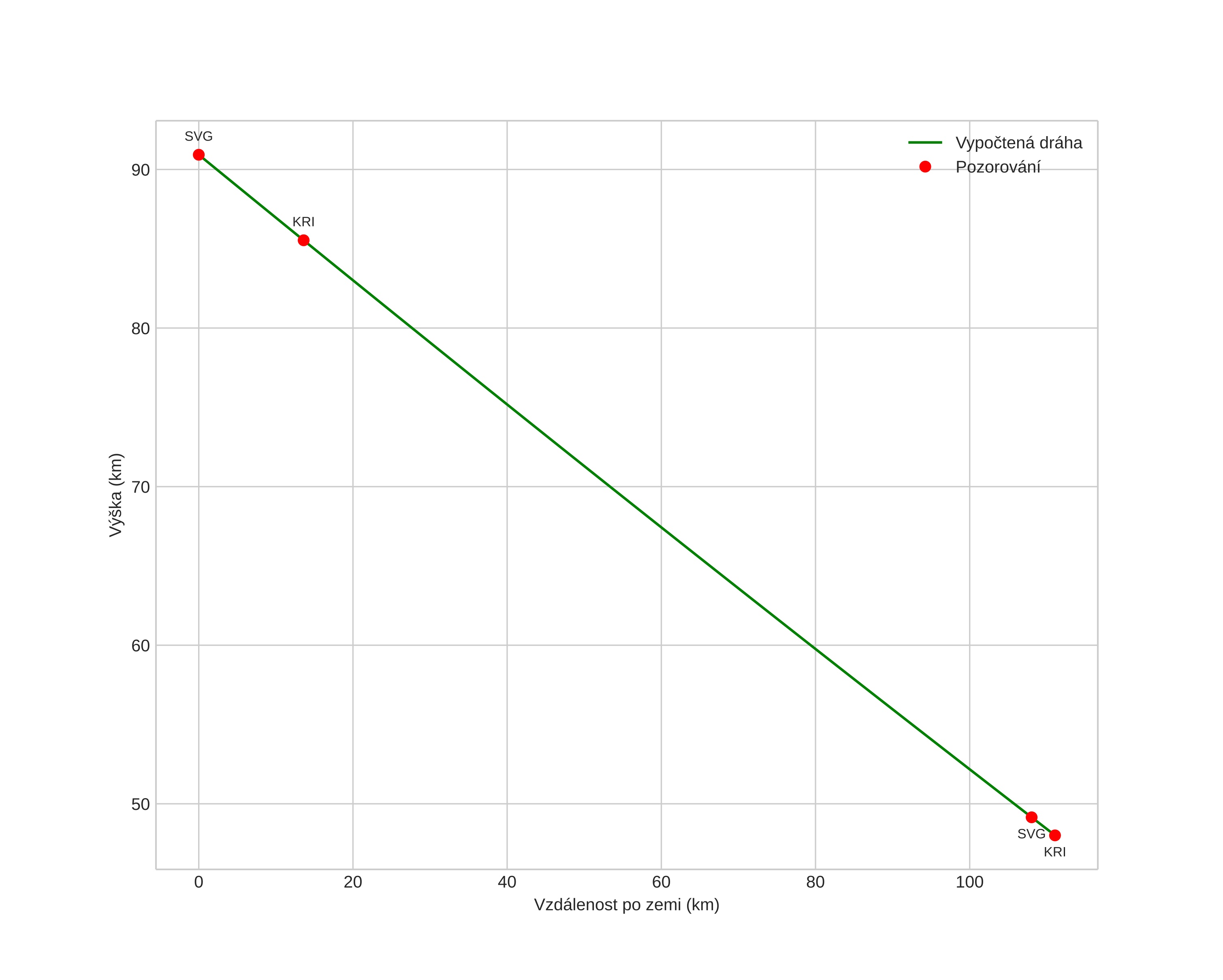
height profile
Atmosférická dráha meteoru:
Počáteční výška: 90,9 km
Konečná výška: 48,0 km
Počáteční poloha: 55,393N 8,533E
Konečná poloha: 56,365N 8,943E
Směr: 13,1°
Sklon: 21,1°
VstupnĂ­ rychlost: 27,8 km/s
Rektascenze radiantu: 13:45 (206,4°)
Deklinace radiantu: -15,9°
MeteorickĂ˝ roj: sporadickĂ˝
Elementy dráhy meteoroidu:
Vzdálenost v periheliu: 0,437 AU
Excentricita: 0,764
Sklon dráhy: 4,6°
Délka vzestupného uzlu: 201,8°
Argument perihelia: 107,6°
Střední anomálie: 341,9°
Epocha: 2022 APR 12 00:46:18
orbit plot

NeinteraktivnĂ­ graf | InteraktivnĂ­ graf

position vs time
speed and acceleration