🇳🇴 🇬🇧 🇩🇪 🇨🇿 🇫🇮

Meteor, poloha: Byrum 2022-04-16 02:15:24 UTC

Soubor KML  |  InteraktivnĂ­ mapa

Mapa zobrazuje dráhy meteoru. Světlejší čáry ukazují směry od pozorovacích stanic při objevení se meteoru a tmavší čáry, kde byl naposledy viděn. Modrá šipka značí viditelnou dráhu meteoru.

static map
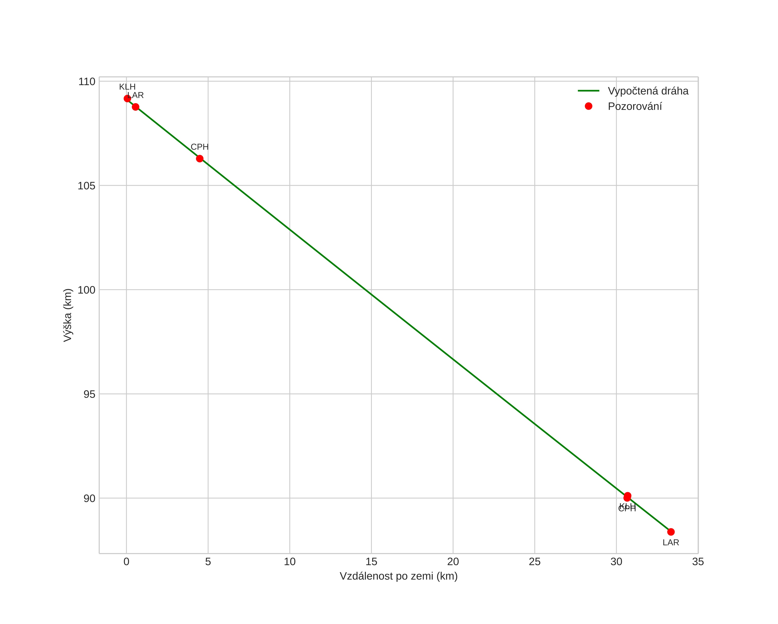
height profile
Atmosférická dráha meteoru:
Počáteční výška: 109,2 km
Konečná výška: 88,6 km
Počáteční poloha: 57,054N 11,595E
Konečná poloha: 57,230N 11,163E
Směr: 307,0°
Sklon: 32,3°
VstupnĂ­ rychlost: 66,8 km/s
Rektascenze radiantu: 19:30 (292,6°)
Deklinace radiantu: 9,4°
MeteorickĂ˝ roj: sporadickĂ˝
Elementy dráhy meteoroidu:
Vzdálenost v periheliu: 1,003 AU
Excentricita: 1,095
Sklon dráhy: 128,5°
Délka vzestupného uzlu: 25,8°
Argument perihelia: 177,8°
Střední anomálie: 0,0°
Epocha: 2022 APR 16 02:15:24
orbit plot

NeinteraktivnĂ­ graf | InteraktivnĂ­ graf

position vs time
speed and acceleration