🇳🇴 🇬🇧 🇩🇪 🇨🇿 🇫🇮

Meteor, poloha: Notodden 2022-04-16 22:09:17 UTC

Soubor KML  |  InteraktivnĂ­ mapa

Mapa zobrazuje dráhy meteoru. Světlejší čáry ukazují směry od pozorovacích stanic při objevení se meteoru a tmavší čáry, kde byl naposledy viděn. Modrá šipka značí viditelnou dráhu meteoru.

static map
height profile
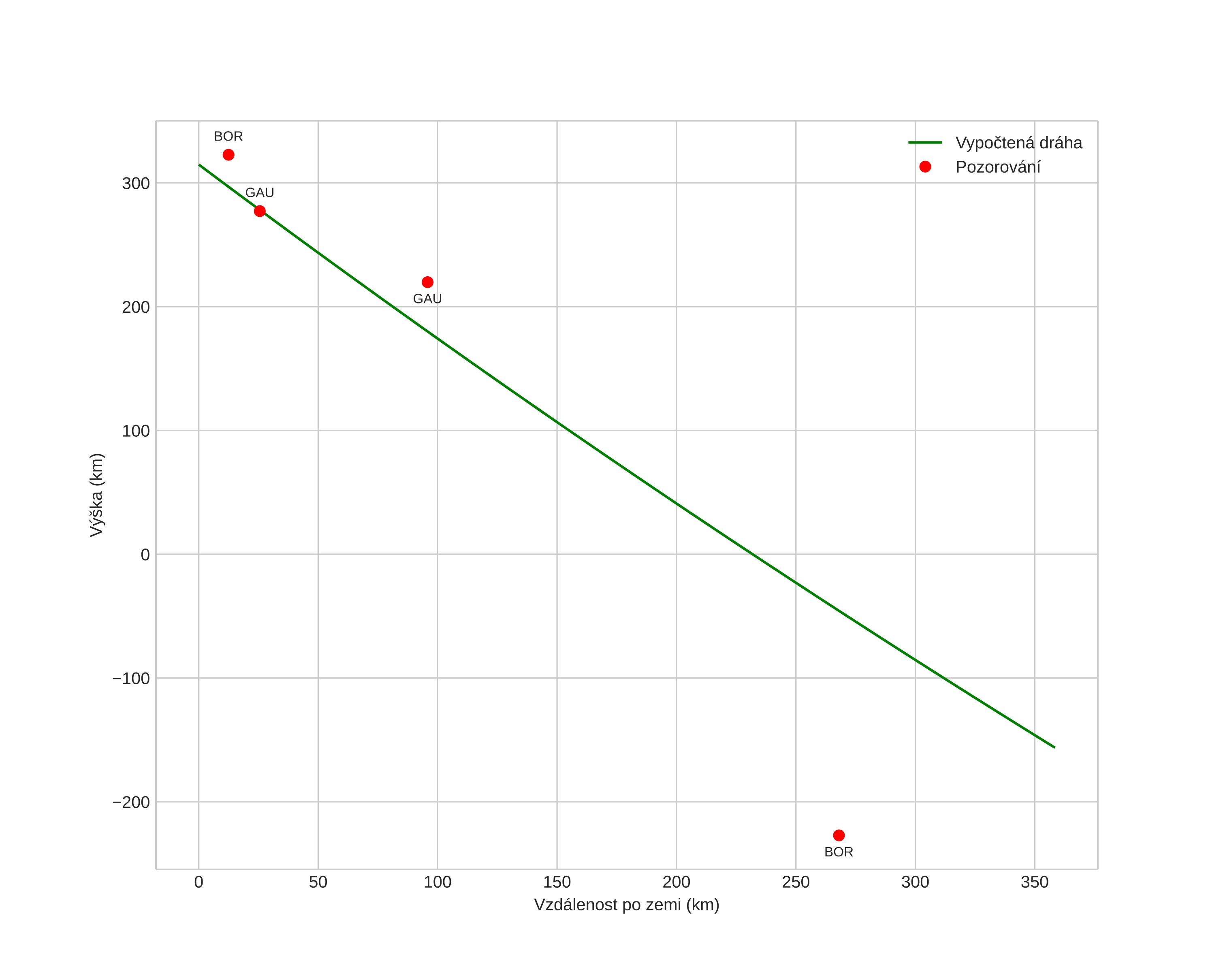
Atmosférická dráha meteoru:
Počáteční výška: 314,6 km
Konečná výška: -156,1 km
Počáteční poloha: 62,443N 13,013E
Konečná poloha: 59,749N 9,345E
Směr: 215,0°
Sklon: 52,7°
VstupnĂ­ rychlost: 135,3 km/s
Rektascenze radiantu: 19:27 (291,9°)
Deklinace radiantu: 69,2°
MeteorickĂ˝ roj: sporadickĂ˝
Elementy dráhy meteoroidu:
Vzdálenost v periheliu: 0,992 AU
Excentricita: 20,354
Sklon dráhy: 77,3°
Délka vzestupného uzlu: 26,6°
Argument perihelia: 171,0°
Střední anomálie: 167,6°
Epocha: 2022 APR 16 22:09:17
orbit plot

NeinteraktivnĂ­ graf | InteraktivnĂ­ graf

position vs time
speed and acceleration