🇳🇴 🇬🇧 🇩🇪 🇨🇿 🇫🇮

Meteor, poloha: Ă…mli 2022-04-20 23:11:02 UTC

Soubor KML  |  InteraktivnĂ­ mapa

Mapa zobrazuje dráhy meteoru. Světlejší čáry ukazují směry od pozorovacích stanic při objevení se meteoru a tmavší čáry, kde byl naposledy viděn. Modrá šipka značí viditelnou dráhu meteoru.

static map
height profile
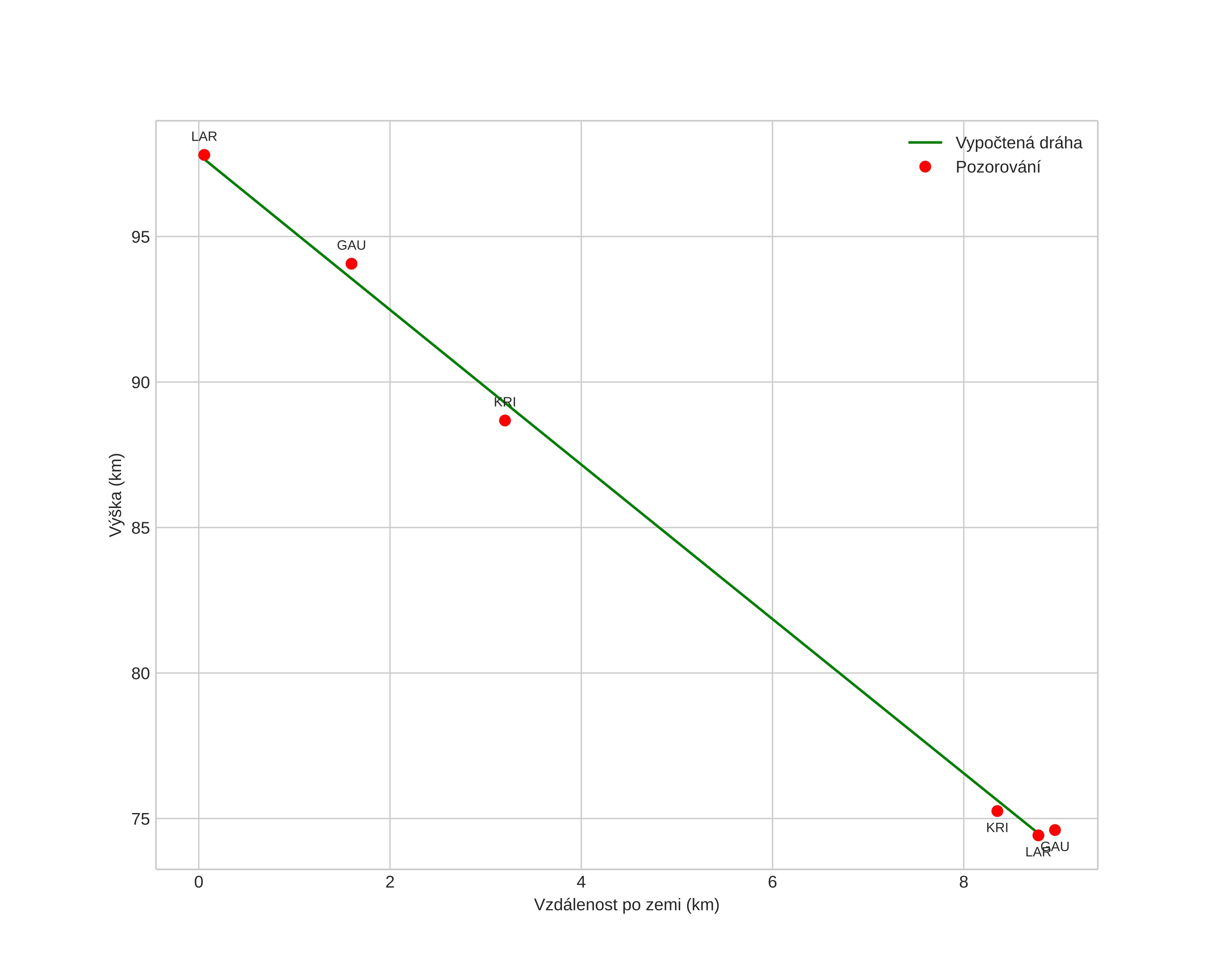
Atmosférická dráha meteoru:
Počáteční výška: 97,7 km
Konečná výška: 74,3 km
Počáteční poloha: 58,896N 8,573E
Konečná poloha: 58,904N 8,420E
Směr: 275,7°
Sklon: 69,3°
VstupnĂ­ rychlost: 28,8 km/s
Rektascenze radiantu: 15:59 (239,9°)
Deklinace radiantu: 51,2°
MeteorickĂ˝ roj: sporadickĂ˝
Elementy dráhy meteoroidu:
Vzdálenost v periheliu: 0,943 AU
Excentricita: 0,788
Sklon dráhy: 39,7°
Délka vzestupného uzlu: 30,5°
Argument perihelia: 210,6°
Střední anomálie: 357,7°
Epocha: 2022 APR 20 23:11:02
orbit plot

NeinteraktivnĂ­ graf | InteraktivnĂ­ graf

position vs time
speed and acceleration