🇳🇴 🇬🇧 🇩🇪 🇨🇿 🇫🇮

Meteor, poloha: Sauda 2022-04-21 20:30:48 UTC

Soubor KML  |  InteraktivnĂ­ mapa

Mapa zobrazuje dráhy meteoru. Světlejší čáry ukazují směry od pozorovacích stanic při objevení se meteoru a tmavší čáry, kde byl naposledy viděn. Modrá šipka značí viditelnou dráhu meteoru.

static map
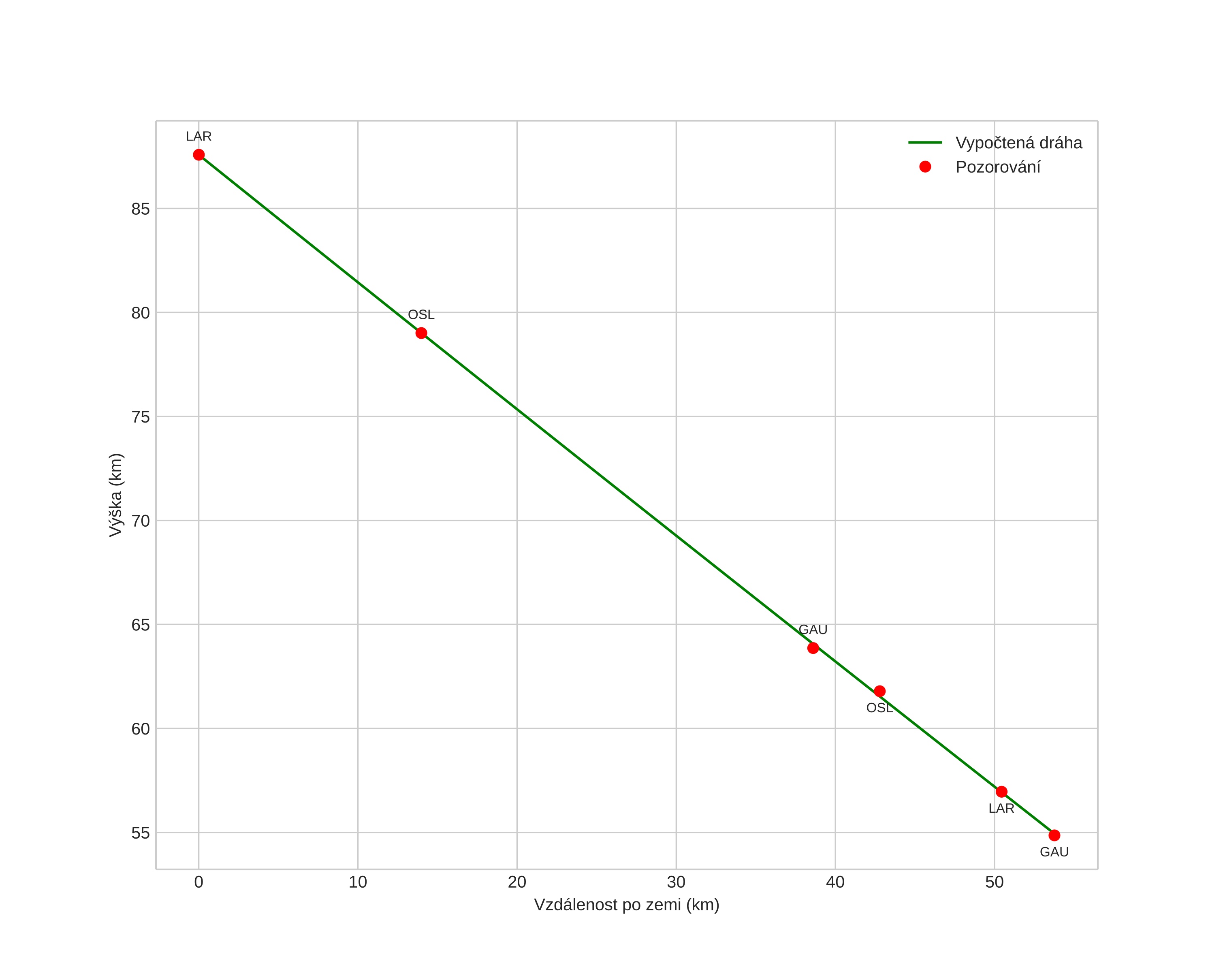
height profile
Atmosférická dráha meteoru:
Počáteční výška: 87,6 km
Konečná výška: 54,8 km
Počáteční poloha: 59,181N 7,282E
Konečná poloha: 59,474N 6,527E
Směr: 307,5°
Sklon: 31,4°
VstupnĂ­ rychlost: 23,6 km/s
Rektascenze radiantu: 13:56 (209,2°)
Deklinace radiantu: 6,8°
MeteorickĂ˝ roj: sporadickĂ˝
Elementy dráhy meteoroidu:
Vzdálenost v periheliu: 0,697 AU
Excentricita: 0,729
Sklon dráhy: 11,0°
Délka vzestupného uzlu: 31,4°
Argument perihelia: 254,1°
Střední anomálie: 349,7°
Epocha: 2022 APR 21 20:30:48
orbit plot

NeinteraktivnĂ­ graf | InteraktivnĂ­ graf

position vs time
speed and acceleration