🇳🇴 🇬🇧 🇩🇪 🇨🇿 🇫🇮

Meteor, poloha: Valle 2022-04-21 20:43:26 UTC

Soubor KML  |  InteraktivnĂ­ mapa

Mapa zobrazuje dráhy meteoru. Světlejší čáry ukazují směry od pozorovacích stanic při objevení se meteoru a tmavší čáry, kde byl naposledy viděn. Modrá šipka značí viditelnou dráhu meteoru.

static map
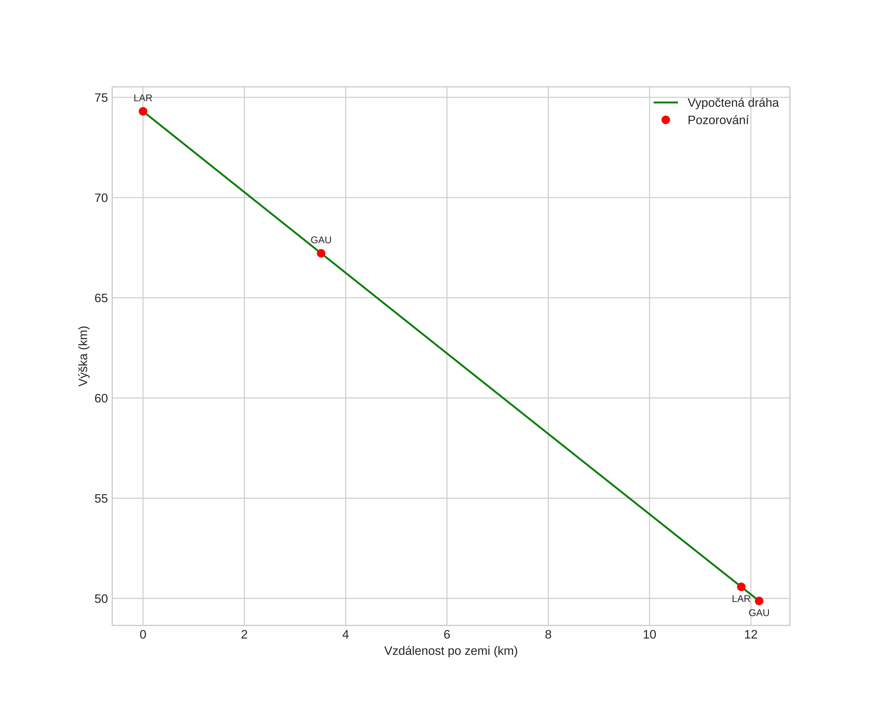
height profile
Atmosférická dráha meteoru:
Počáteční výška: 74,3 km
Konečná výška: 48,2 km
Počáteční poloha: 59,185N 7,651E
Konečná poloha: 59,301N 7,675E
Směr: 6,2°
Sklon: 63,5°
VstupnĂ­ rychlost: 16,2 km/s
Rektascenze radiantu: 10:53 (163,3°)
Deklinace radiantu: 28,4°
MeteorickĂ˝ roj: sporadickĂ˝
Elementy dráhy meteoroidu:
Vzdálenost v periheliu: 0,984 AU
Excentricita: 0,784
Sklon dráhy: 5,8°
Délka vzestupného uzlu: 31,4°
Argument perihelia: 197,9°
Střední anomálie: 358,6°
Epocha: 2022 APR 21 20:43:26
orbit plot

NeinteraktivnĂ­ graf | InteraktivnĂ­ graf

position vs time
speed and acceleration