🇳🇴 🇬🇧 🇩🇪 🇨🇿 🇫🇮

Meteor, poloha: Prestestranda 2022-04-21 22:45:53 UTC

Soubor KML  |  InteraktivnĂ­ mapa

Mapa zobrazuje dráhy meteoru. Světlejší čáry ukazují směry od pozorovacích stanic při objevení se meteoru a tmavší čáry, kde byl naposledy viděn. Modrá šipka značí viditelnou dráhu meteoru.

static map
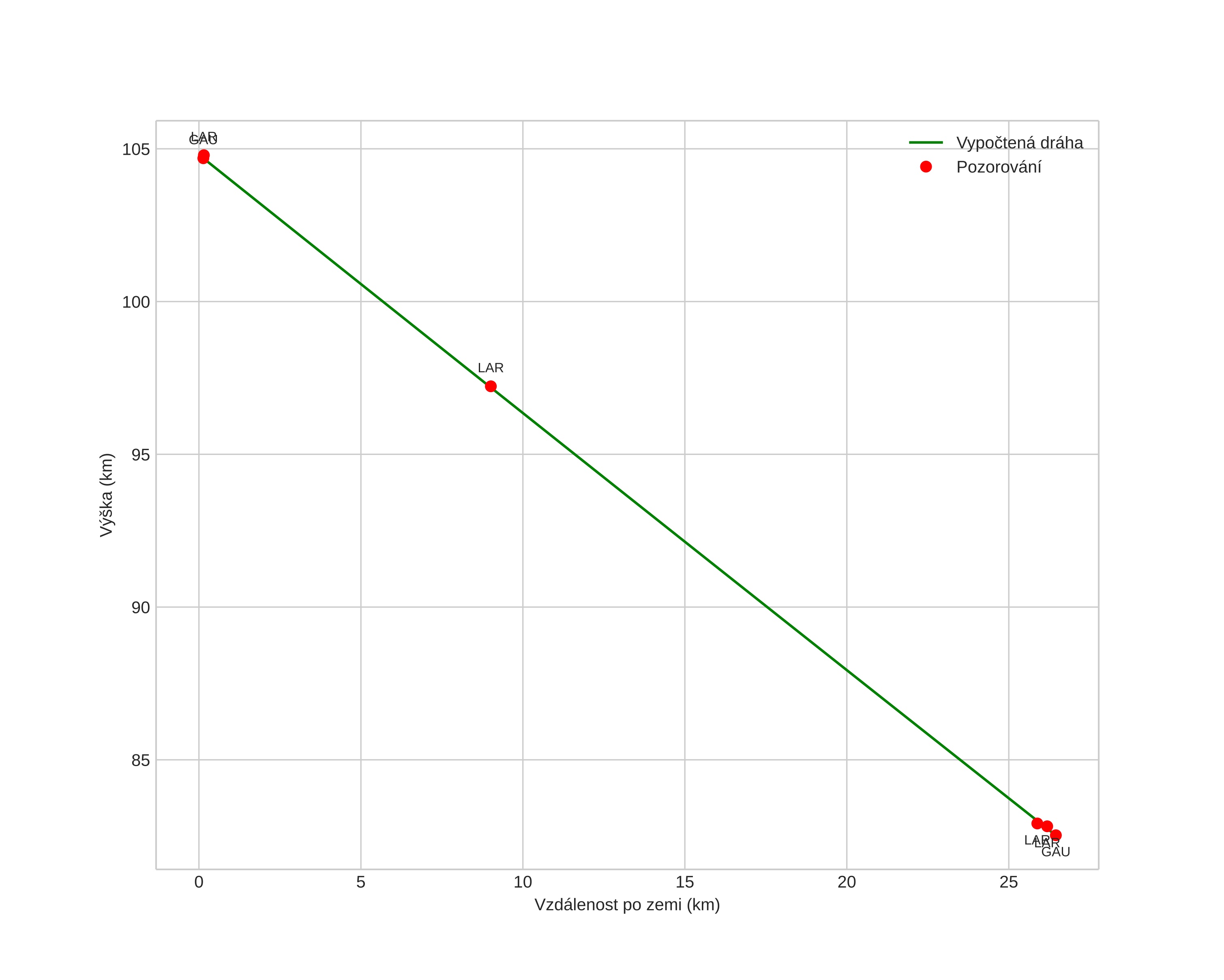
height profile
Atmosférická dráha meteoru:
Počáteční výška: 104,7 km
Konečná výška: 82,9 km
Počáteční poloha: 59,197N 9,555E
Konečná poloha: 59,186N 9,092E
Směr: 267,6°
Sklon: 39,6°
VstupnĂ­ rychlost: 45,7 km/s
Rektascenze radiantu: 17:59 (269,9°)
Deklinace radiantu: 33,8°
MeteorickĂ˝ roj: Lyridy
Elementy dráhy meteoroidu:
Vzdálenost v periheliu: 0,906 AU
Excentricita: 0,841
Sklon dráhy: 76,0°
Délka vzestupného uzlu: 31,5°
Argument perihelia: 218,4°
Střední anomálie: 358,1°
Epocha: 2022 APR 21 22:45:53
orbit plot

NeinteraktivnĂ­ graf | InteraktivnĂ­ graf

position vs time
speed and acceleration