🇳🇴 🇬🇧 🇩🇪 🇨🇿 🇫🇮

Meteor, poloha: Setermoen 2022-04-23 21:40:00 UTC

Soubor KML  |  InteraktivnĂ­ mapa

Mapa zobrazuje dráhy meteoru. Světlejší čáry ukazují směry od pozorovacích stanic při objevení se meteoru a tmavší čáry, kde byl naposledy viděn. Modrá šipka značí viditelnou dráhu meteoru.

static map
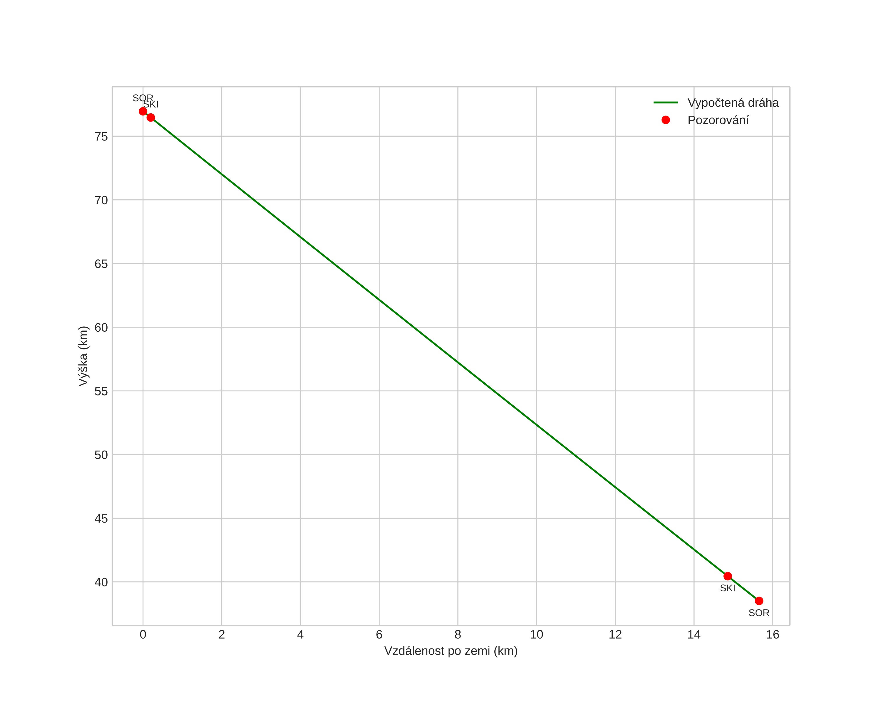
height profile
Atmosférická dráha meteoru:
Počáteční výška: 77,0 km
Konečná výška: 38,5 km
Počáteční poloha: 68,092N 19,358E
Konečná poloha: 68,200N 19,116E
Směr: 320,3°
Sklon: 67,9°
VstupnĂ­ rychlost: 19,3 km/s
Rektascenze radiantu: 14:30 (217,7°)
Deklinace radiantu: 46,7°
MeteorickĂ˝ roj: sporadickĂ˝
Elementy dráhy meteoroidu:
Vzdálenost v periheliu: 0,944 AU
Excentricita: 0,529
Sklon dráhy: 21,7°
Délka vzestupného uzlu: 33,4°
Argument perihelia: 214,7°
Střední anomálie: 350,5°
Epocha: 2022 APR 23 21:40:00
orbit plot

NeinteraktivnĂ­ graf | InteraktivnĂ­ graf

position vs time
speed and acceleration