🇳🇴 🇬🇧 🇩🇪 🇨🇿 🇫🇮

Meteor, poloha: TĂĄrs 2022-04-24 22:23:50 UTC

Soubor KML  |  InteraktivnĂ­ mapa

Mapa zobrazuje dráhy meteoru. Světlejší čáry ukazují směry od pozorovacích stanic při objevení se meteoru a tmavší čáry, kde byl naposledy viděn. Modrá šipka značí viditelnou dráhu meteoru.

static map
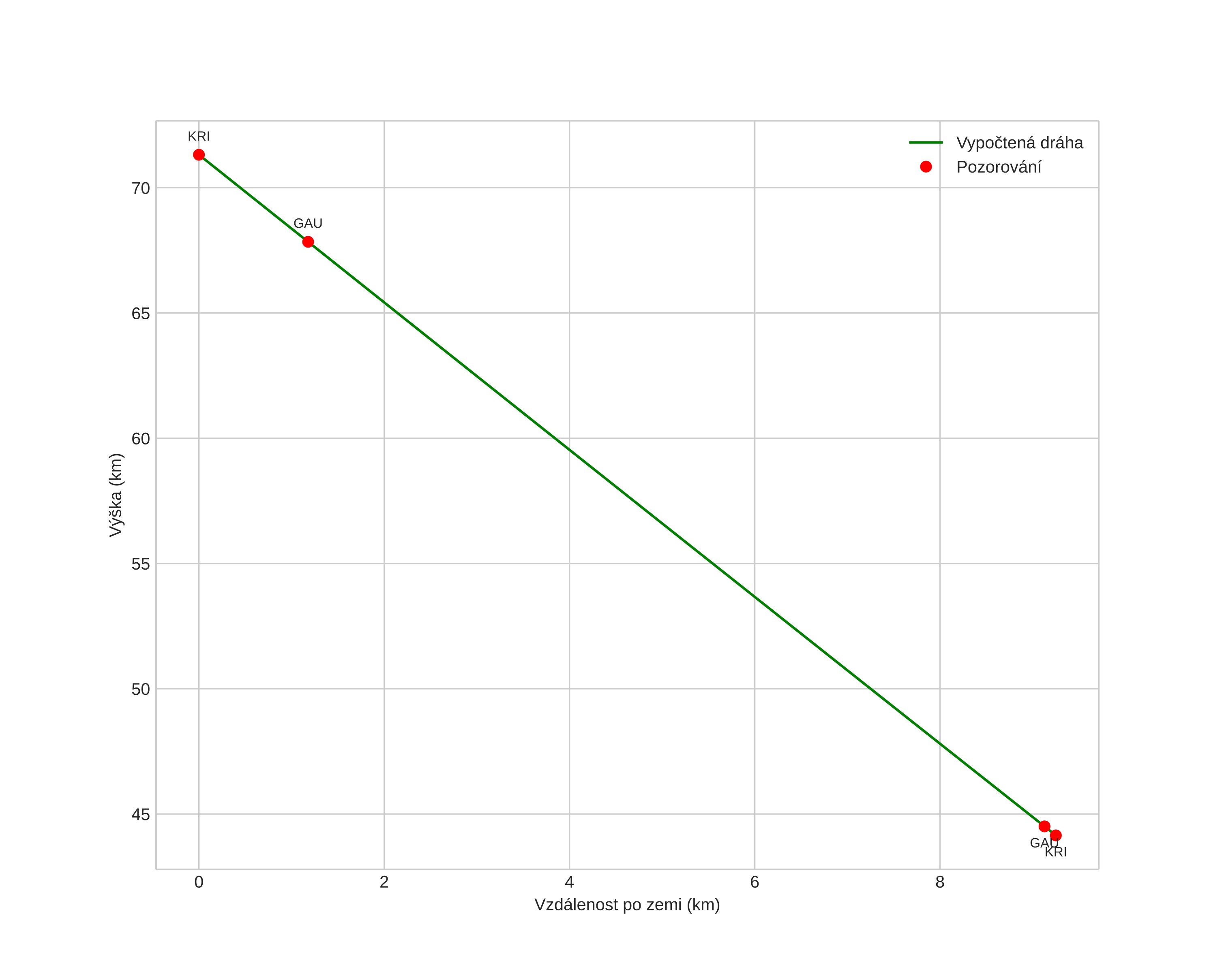
height profile
Atmosférická dráha meteoru:
Počáteční výška: 74,4 km
Konečná výška: 43,3 km
Počáteční poloha: 57,372N 10,091E
Konečná poloha: 57,293N 10,118E
Směr: 169,2°
Sklon: 74,1°
VstupnĂ­ rychlost: 17,3 km/s
Rektascenze radiantu: 12:10 (182,5°)
Deklinace radiantu: 74,5°
MeteorickĂ˝ roj: sporadickĂ˝
Elementy dráhy meteoroidu:
Vzdálenost v periheliu: 1,006 AU
Excentricita: 0,601
Sklon dráhy: 18,3°
Délka vzestupného uzlu: 34,4°
Argument perihelia: 178,6°
Střední anomálie: 0,3°
Epocha: 2022 APR 24 22:23:50
orbit plot

NeinteraktivnĂ­ graf | InteraktivnĂ­ graf

position vs time
speed and acceleration