🇳🇴 🇬🇧 🇩🇪 🇨🇿 🇫🇮

Meteor, poloha: Sveg 2022-04-24 22:31:23 UTC

Soubor KML  |  InteraktivnĂ­ mapa

Mapa zobrazuje dráhy meteoru. Světlejší čáry ukazují směry od pozorovacích stanic při objevení se meteoru a tmavší čáry, kde byl naposledy viděn. Modrá šipka značí viditelnou dráhu meteoru.

static map
height profile
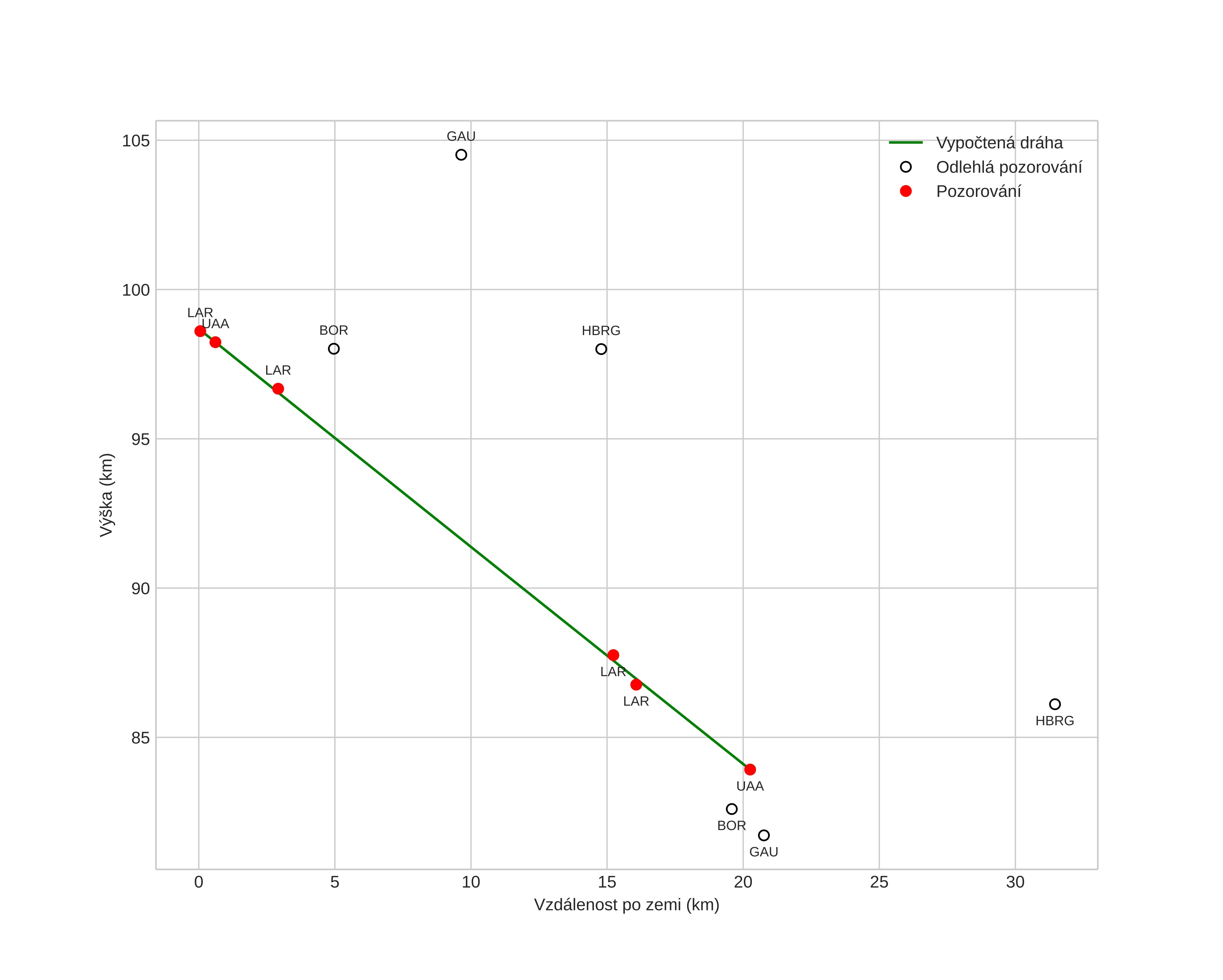
Atmosférická dráha meteoru:
Počáteční výška: 105,4 km
Konečná výška: 81,8 km
Počáteční poloha: 61,430N 14,975E
Konečná poloha: 61,599N 14,486E
Směr: 306,2°
Sklon: 36,4°
VstupnĂ­ rychlost: 42,2 km/s
Rektascenze radiantu: 16:33 (248,4°)
Deklinace radiantu: 16,2°
MeteorickĂ˝ roj: sporadickĂ˝
Elementy dráhy meteoroidu:
Vzdálenost v periheliu: 0,488 AU
Excentricita: 0,896
Sklon dráhy: 60,6°
Délka vzestupného uzlu: 34,4°
Argument perihelia: 275,2°
Střední anomálie: 355,9°
Epocha: 2022 APR 24 22:31:23
orbit plot

NeinteraktivnĂ­ graf | InteraktivnĂ­ graf

position vs time
speed and acceleration