🇳🇴 🇬🇧 🇩🇪 🇨🇿 🇫🇮

Meteor, poloha: Odda 2022-05-01 22:34:01 UTC

Soubor KML  |  InteraktivnĂ­ mapa

Mapa zobrazuje dráhy meteoru. Světlejší čáry ukazují směry od pozorovacích stanic při objevení se meteoru a tmavší čáry, kde byl naposledy viděn. Modrá šipka značí viditelnou dráhu meteoru.

static map
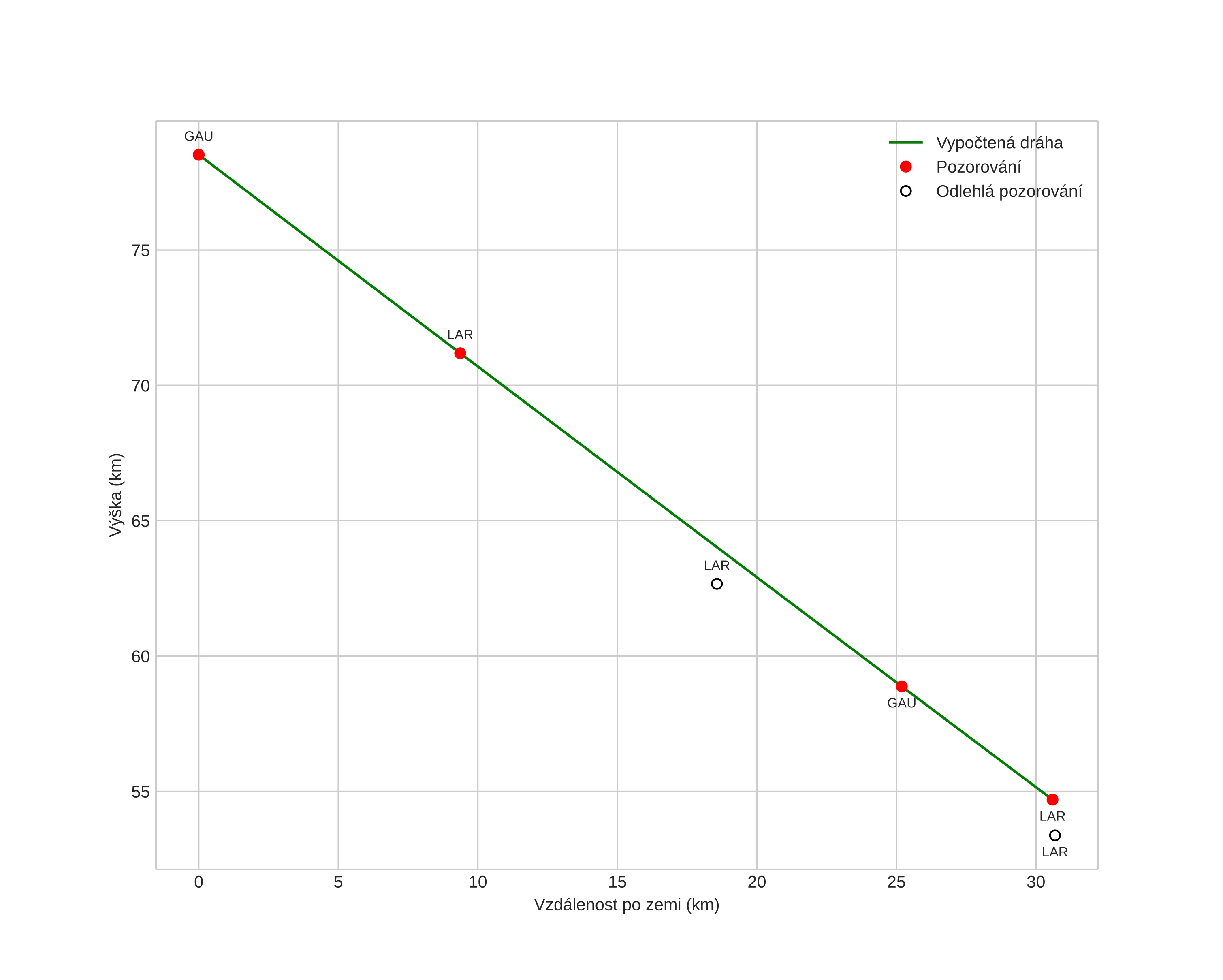
height profile
Atmosférická dráha meteoru:
Počáteční výška: 79,3 km
Konečná výška: 54,2 km
Počáteční poloha: 60,312N 6,596E
Konečná poloha: 60,036N 6,742E
Směr: 165,3°
Sklon: 38,3°
VstupnĂ­ rychlost: 19,9 km/s
Rektascenze radiantu: 03:27 (52,0°)
Deklinace radiantu: 60,8°
MeteorickĂ˝ roj: sporadickĂ˝
Elementy dráhy meteoroidu:
Vzdálenost v periheliu: 0,893 AU
Excentricita: 0,717
Sklon dráhy: 17,1°
Délka vzestupného uzlu: 41,2°
Argument perihelia: 136,8°
Střední anomálie: 5,4°
Epocha: 2022 MAY 01 22:34:01
orbit plot

NeinteraktivnĂ­ graf | InteraktivnĂ­ graf

position vs time
speed and acceleration