🇳🇴 🇬🇧 🇩🇪 🇨🇿 🇫🇮

Meteor, poloha: Billingsfors 2022-05-04 02:12:52 UTC

Soubor KML  |  InteraktivnĂ­ mapa

Mapa zobrazuje dráhy meteoru. Světlejší čáry ukazují směry od pozorovacích stanic při objevení se meteoru a tmavší čáry, kde byl naposledy viděn. Modrá šipka značí viditelnou dráhu meteoru.

static map
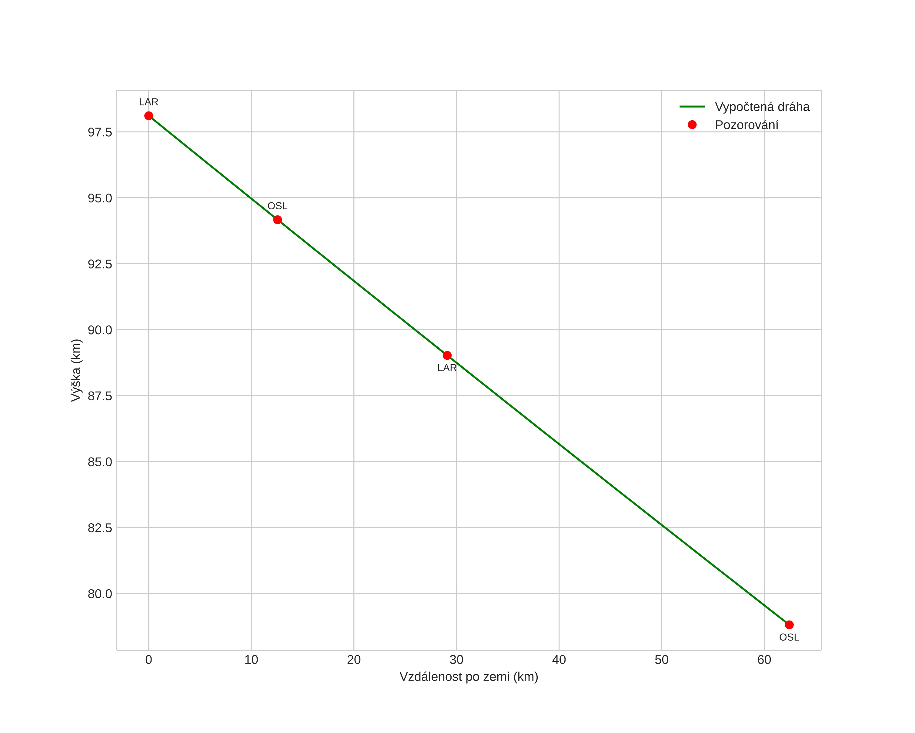
height profile
Atmosférická dráha meteoru:
Počáteční výška: 98,1 km
Konečná výška: 78,8 km
Počáteční poloha: 58,510N 11,557E
Konečná poloha: 58,954N 12,219E
Směr: 37,4°
Sklon: 17,2°
VstupnĂ­ rychlost: 29,8 km/s
Rektascenze radiantu: 15:16 (229,1°)
Deklinace radiantu: -11,2°
MeteorickĂ˝ roj: sporadickĂ˝
Elementy dráhy meteoroidu:
Vzdálenost v periheliu: 0,444 AU
Excentricita: 0,840
Sklon dráhy: 7,0°
Délka vzestupného uzlu: 43,3°
Argument perihelia: 283,0°
Střední anomálie: 350,7°
Epocha: 2022 MAY 04 02:12:52
orbit plot

NeinteraktivnĂ­ graf | InteraktivnĂ­ graf

position vs time
speed and acceleration